Предмет: Физика,
автор: romanorivne02
допоможіть будь ласка з 9 !!!!
Приложения:
Ответы
Автор ответа:
0
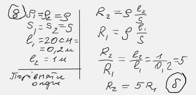
Ответ: 8. б) Питомий опір першого провідника утричі менший ніж у другого
Объяснение: Див. додаток
Приложения:
Похожие вопросы
Предмет: Английский язык,
автор: muhan59
Предмет: Русский язык,
автор: Аноним
Предмет: Русский язык,
автор: zahrofarm
Предмет: Математика,
автор: Nadia868