Предмет: Математика,
автор: streaks1410
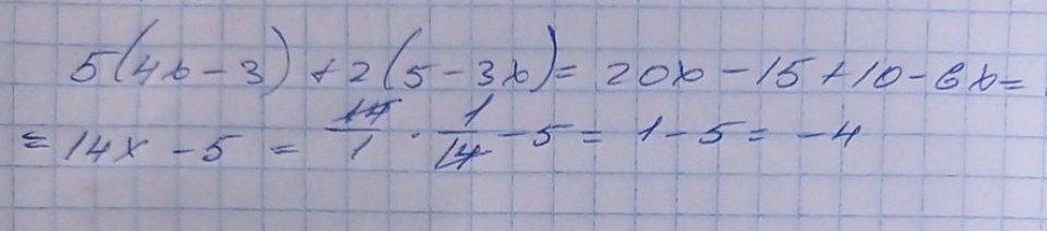
5(4x-3)+2(5-3x) якщо x=1/14?
Ответы
Автор ответа:
1
Ответ:
20x-15+10-6x=0
20x-6x=15-10
14x=5
x=5/14
Автор ответа:
1
Пошаговое объяснение:
Приложения:
Похожие вопросы
Предмет: Русский язык,
автор: Интернет2001века
Предмет: Английский язык,
автор: катя3587
Предмет: Русский язык,
автор: anton010379
Предмет: Русский язык,
автор: anechka0210
Предмет: Математика,
автор: alenasekretarenko41