Предмет: Математика,
автор: Dedinside1000minys7
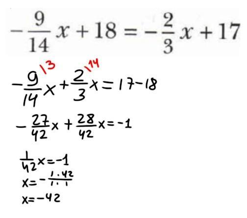
- 9/14x + 18 и т.д...
Помогите решить! Срочно!
Приложения:
Ответы
Автор ответа:
1
12 - 4(x-3) = 39 - 9x
12 - 4x + 12 = 39 - 9x
- 4x + 9x = 39 - 12 - 12
5x = 15
x = 15 : 5
x = 3
Ответ: 3
ПЕРВОЕ УРАВНЕНИЕ НА РИСУНКЕ <3
Приложения:
Похожие вопросы
Предмет: Русский язык,
автор: kluk20044
Предмет: Другие предметы,
автор: кактус78
Предмет: Английский язык,
автор: leta666
Предмет: Алгебра,
автор: soniboom
Предмет: История,
автор: ksenia2002546