Предмет: Алгебра,
автор: mpus262
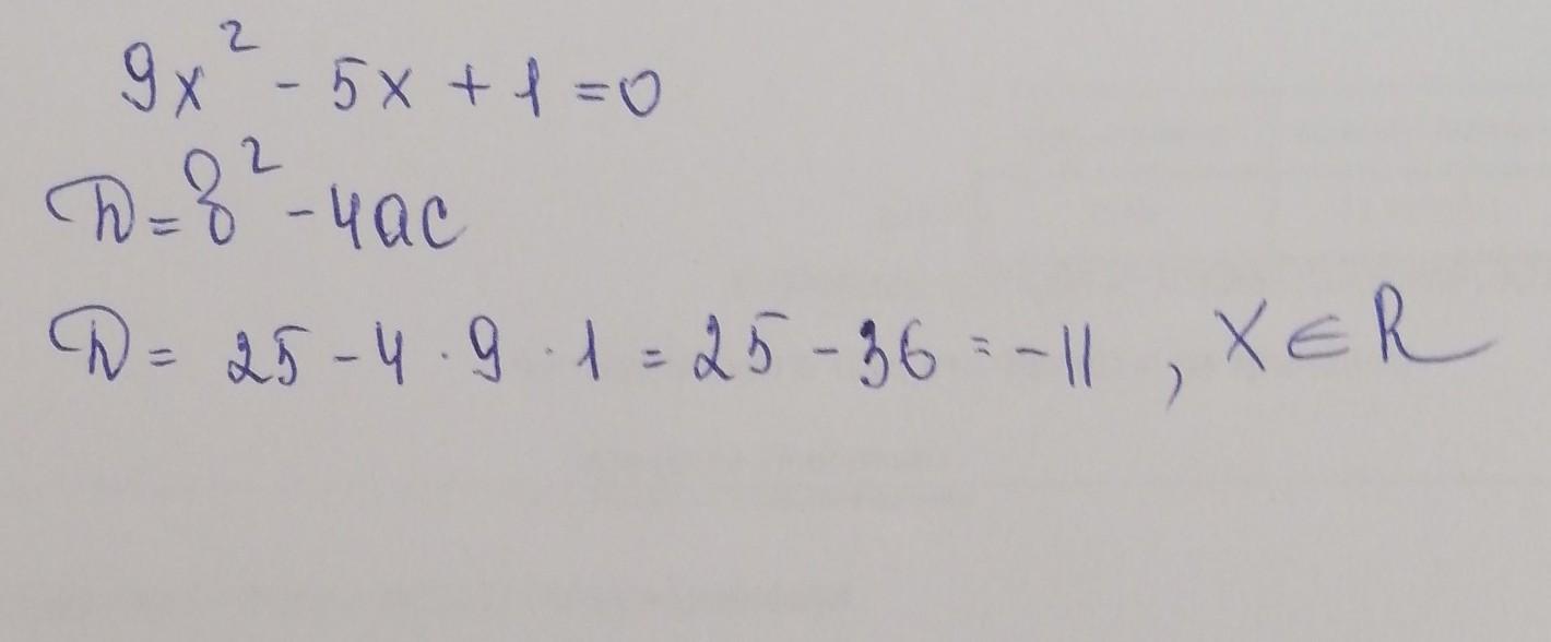
знайти корінь рівняння 9х²-5х+1=0
Ответы
Автор ответа:
1
Ответ:
На фото..............................
Приложения:
Автор ответа:
0
Ответ:
данное уравнение корней не имеет ,т.к Д< 0,парабола расположена выше оси ОХ.
Объяснение:
Приложения:
Похожие вопросы
Предмет: Русский язык,
автор: Римма91
Предмет: Английский язык,
автор: vardanyanroza
Предмет: Английский язык,
автор: ЛизаКит
Предмет: Українська мова,
автор: oksanabohutska
Предмет: Русский язык,
автор: oksana195