Предмет: Математика,
автор: andriy0390
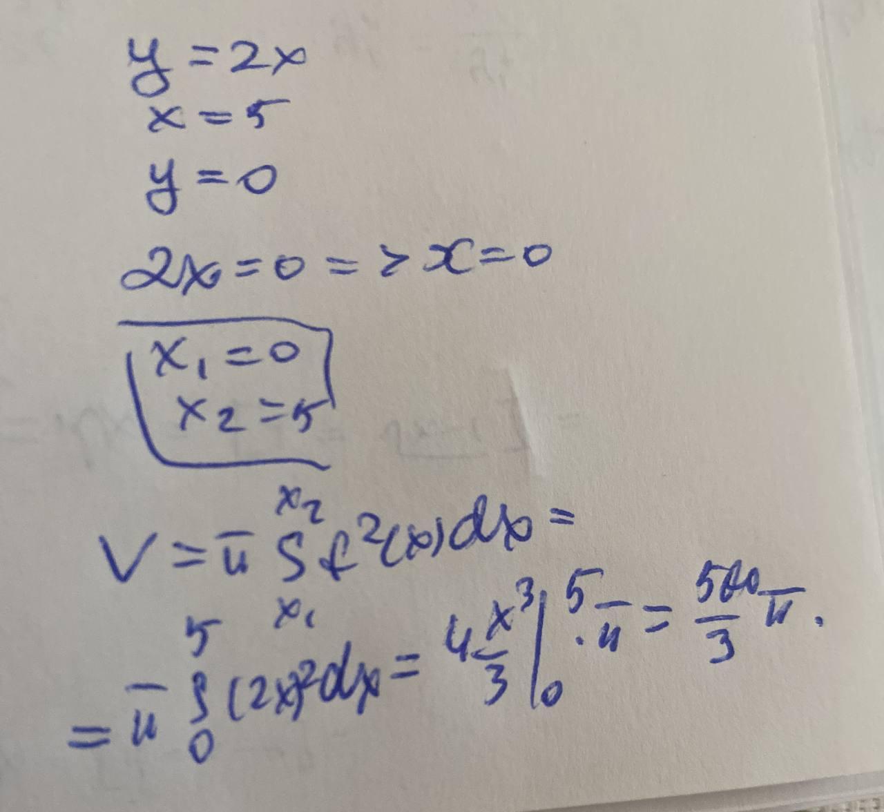
Найти объем тела вращения. Фигура, ограниченная прямыми y=2x, x=5 и y=0, вращается вокруг оси ОХ.
Ответы
Автор ответа:
0
смотрите фото.......................
Приложения:
andriy0390:
Вибачте, а можна трошки розбіроливіше? Дуже важко розібрати
зараз це ще актуально?
я вже вирішив немає потреби
ок
Похожие вопросы
Предмет: Окружающий мир,
автор: ogloblingleban
Предмет: Қазақ тiлi,
автор: sali9
Предмет: Английский язык,
автор: davian1
Предмет: Қазақ тiлi,
автор: tracker53
Предмет: Алгебра,
автор: Romаnа