Предмет: Алгебра,
автор: salvinaa
ПОМОГИТЕ ПОЖАЛУЙСТА
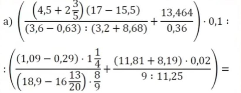
Приложения:
Ответы
Автор ответа:
1
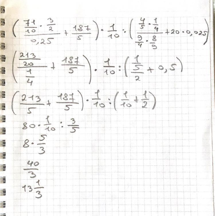
Решение на картинке
Ответ:
13 1/3
Ответ:
13 1/3
Приложения:
Похожие вопросы
Предмет: Русский язык,
автор: Аноним
Предмет: Другие предметы,
автор: Trentosl
Предмет: Қазақ тiлi,
автор: dias200620
Предмет: Математика,
автор: Аноним
Предмет: Биология,
автор: Shugawata