Предмет: Математика, автор: vitagolub073

Решите пж задачу дам 20 балов​

Приложения:

vitagolub073: можете решить и примеры

Ответы

Автор ответа: Ляляляля109
1

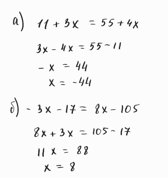
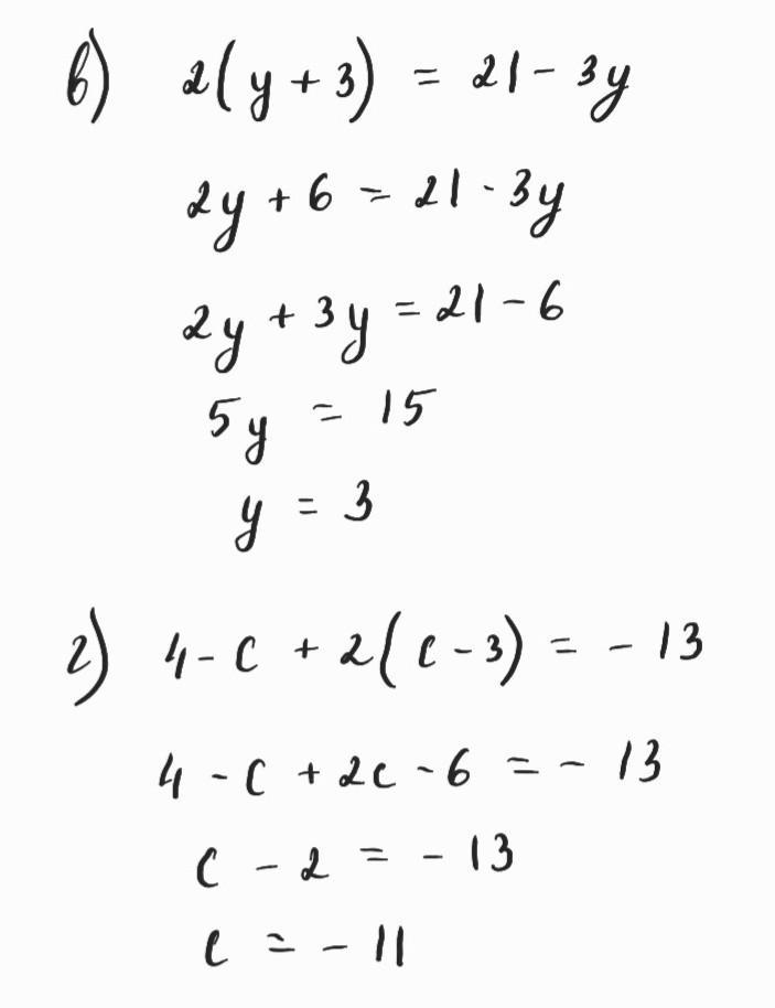
1. на фото

2.Пусть в одном мотке х метров, тогда во втором будет х+5 метров

x + (x + 5) = 29 \\  \\ x + x + 5 = 29 \\  \\ 2x + 5 = 29 \\  \\ 2x = 24 \\  \\ x = 12

В одном мотке 12 метров проволоки. Во втором мотке 12+5=17 метров проволоки.

Ответ: 12 м в одном, 17 м в другом

Приложения:

vitagolub073: а можишь сделать и уравнения пж
Ляляляля109: могу, но после того, как модераторы просмотрят нарушение и разрешат отредактировать ответ
vitagolub073: го я ща ещё тогда сделаю вопрос
vitagolub073: только с теми примерами
Ляляляля109: ок
vitagolub073: все добавил
Автор ответа: Sleepyprincesska
1

11+3х=55+4у=11+3х-55-4у=-44-1ху

Приложения:

vitagolub073: нееет примеры пж реши
Sleepyprincesska: хорошо сейчас
vitagolub073: спасибооооо
Sleepyprincesska: Вот вверх посмотри увидишь я одну сделала а остальные сам/а сделай
vitagolub073: нет ты все сделала спасибо
vitagolub073: огромное
Похожие вопросы
Предмет: Русский язык, автор: Флят
Предмет: Английский язык, автор: oksana167
Предмет: Английский язык, автор: vladtushov
Предмет: Английский язык, автор: veroniks14