Предмет: Математика,
автор: Jack1557
розвязати рівняння (х+0,05):0,4=37,7-13,5
Ответы
Автор ответа:
0
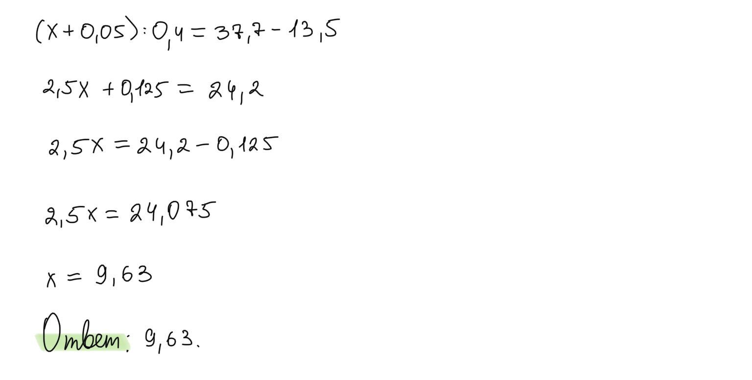
Решение на фото
Надеюсь помогла <З
Удачи:з
Приложения:
Автор ответа:
1
Ответ:
х = 9.63
Пошаговое объяснение:
(х + 0.05) : 0.4 = 37.7 - 13.5
Преобразуем десятичную дробь в обыкновеную
(х + 1\20) : 2\5 = 37.7 - 13.5
(х + 1\20) : 2\5 = 24.2
(х + 1\20) : 2\5 = 121\5
Чтобы разделить на дробь, необходимо сделать умножение на выражение, обратное этой дроби
(х + 1\20) * 5\2 = 121\5
Распределим 5\2 через скобки
5\2х+1\8
Умножаем обе части уравнения на 40
100х + 5 = 968
100х = 968 - 5
100х = 963
х = 963\100
х = 9.63
Похожие вопросы
Предмет: Русский язык,
автор: katy090782
Предмет: Окружающий мир,
автор: нннн63
Предмет: Русский язык,
автор: milina3
Предмет: Русский язык,
автор: kseniya2389