Предмет: Физика,
автор: dashkarosolenko
Поможіть з задачою дуже треба
Приложения:
Ответы
Автор ответа:
1
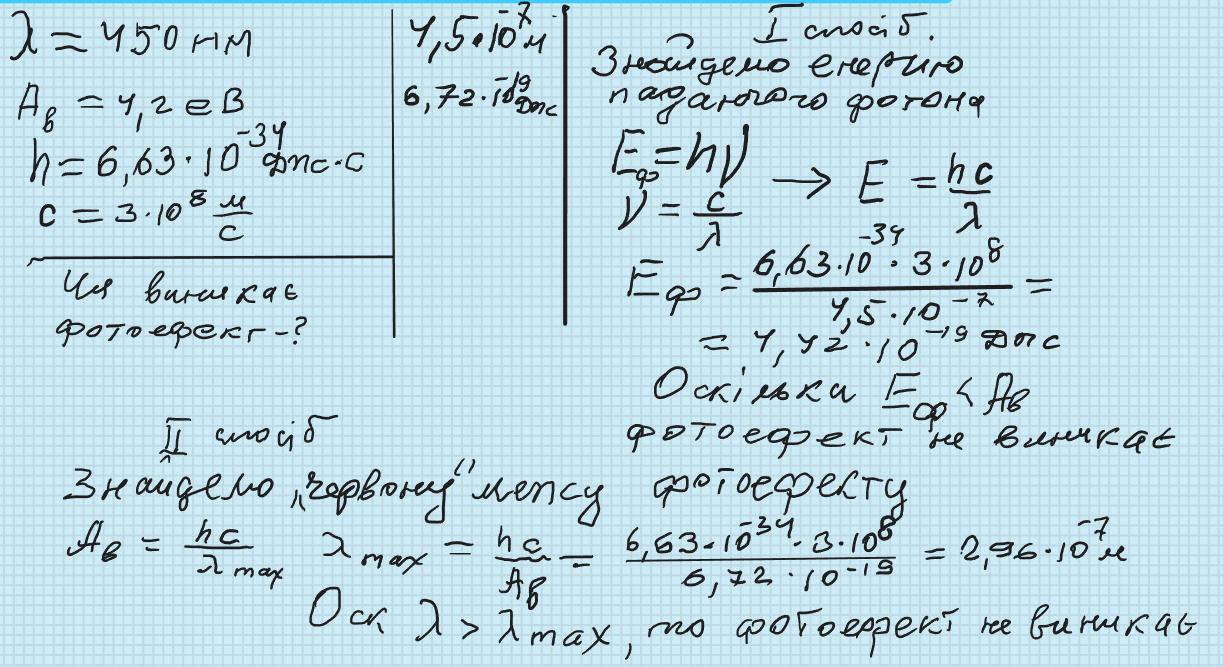
Ответ: Не виникає
Объяснение: Див. додаток
Приложения:
dashkarosolenko:
Дякую
Похожие вопросы
Предмет: Другие предметы,
автор: НЕГРОИД2
Предмет: Русский язык,
автор: stomatolog2014
Предмет: Другие предметы,
автор: злая0училка
Предмет: Математика,
автор: valmar1981
Предмет: Русский язык,
автор: lolika33