Предмет: Алгебра,
автор: didijdejjejwjwjej
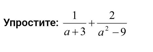
Упростите и объясните как решается подобные задачи
Приложения:
Ответы
Автор ответа:
1
Ответ:
Во второй дроби в знаменателе разность квадратов, раскрываем по формуле: a²-b²=(a+b)(a-b)
Приводим дроби к общему знаменателю и первую дробь домножаем на (а-3).
В конце сокращаем (а-3) и остается в числителе 2,а в знаменателе а+3.
Похожие вопросы
Предмет: Русский язык,
автор: катя3225
Предмет: Русский язык,
автор: дан170
Предмет: Русский язык,
автор: галаеваКамила
Предмет: Геометрия,
автор: slix1
Предмет: Биология,
автор: melis30