Предмет: Алгебра,
автор: inka382
ПОМОГИТЕ СРОЧНО, ПОЖАЛУЙСТА!!!!!
Нужно решить примеры и ответы написаны какое они должны быть
Приложения:
Ответы
Автор ответа:
0
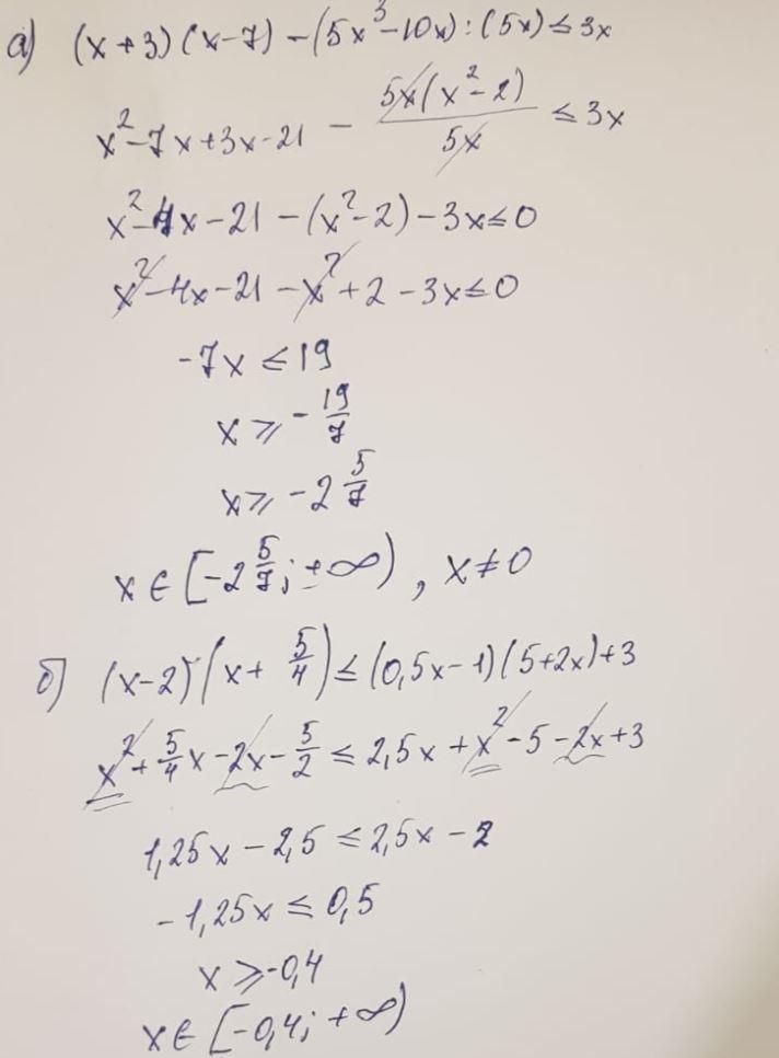
Ответ:
a) x ∈ [-2 5/7;0) ∪ (0;+∞)
б) х ∈ [-0,4;+∞)
Объяснение:
Линейное неравенство.
Ограничение: в знаменателе 0 не может быть поэтому 5х≠0⇒х≠0
a) x ∈ [-2 5/7;0) ∪ (0;+∞)
б) х ∈ [-0,4;+∞)
Приложения:
Похожие вопросы
Предмет: Окружающий мир,
автор: Аноним
Предмет: Русский язык,
автор: gurinovichsvet
Предмет: Українська мова,
автор: dvouchnic16
Предмет: Обществознание,
автор: kostyaivanov41
Предмет: Английский язык,
автор: hhhxf