Предмет: Математика, автор: antonzverev27022

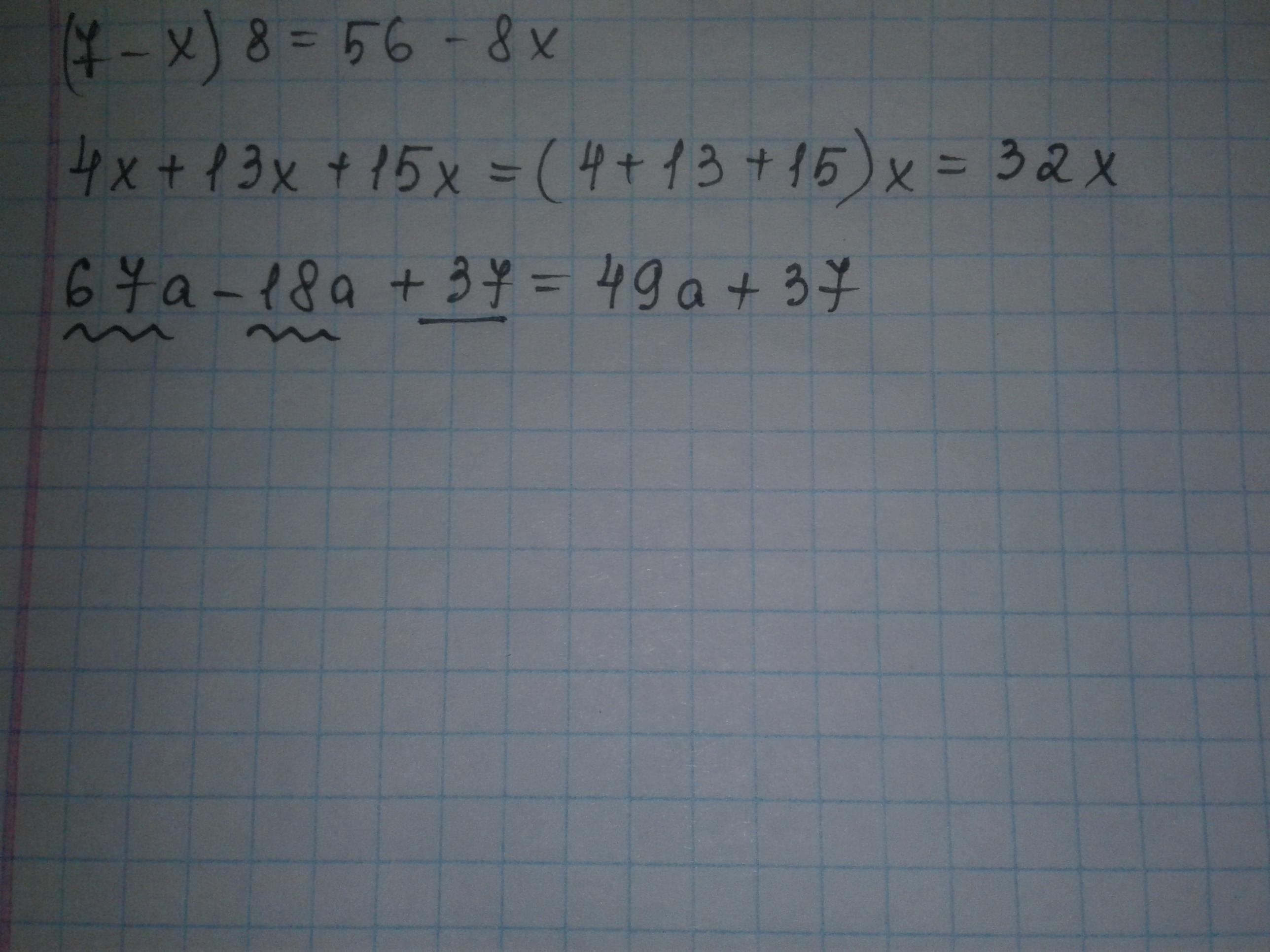
(7-x).8=
4x+13x+15x=
67a-18a+37=​

Ответы

Автор ответа: 12FunGirl12
1

Ответ:

1) =5.6-0.8x

2) =32x

3) =49a+37

объяснение:

1) \left(7-x\right)\cdot \:0.8

=0.8\left(7-x\right)

=0.8\cdot \:7-0.8x

=5.6-0.8x

2) 4x+13x+15x

=32x

3) 67a-18a+37

=49a+37

Автор ответа: sadykovanatalya2004
1

Ответ:

Смотри фото ниже.

Пошаговое объяснение:

Приложения:
Похожие вопросы
Предмет: Окружающий мир, автор: 0639511954
Предмет: Биология, автор: DmntryF