Предмет: Математика,
автор: Alinamuu88864
найдите значение выражения:
Приложения:
miki68:
=(-14/36+33/36)*(-48/19)=19/36*(-48/19)= - 8/6= - 1 1/3
Ответы
Автор ответа:
1
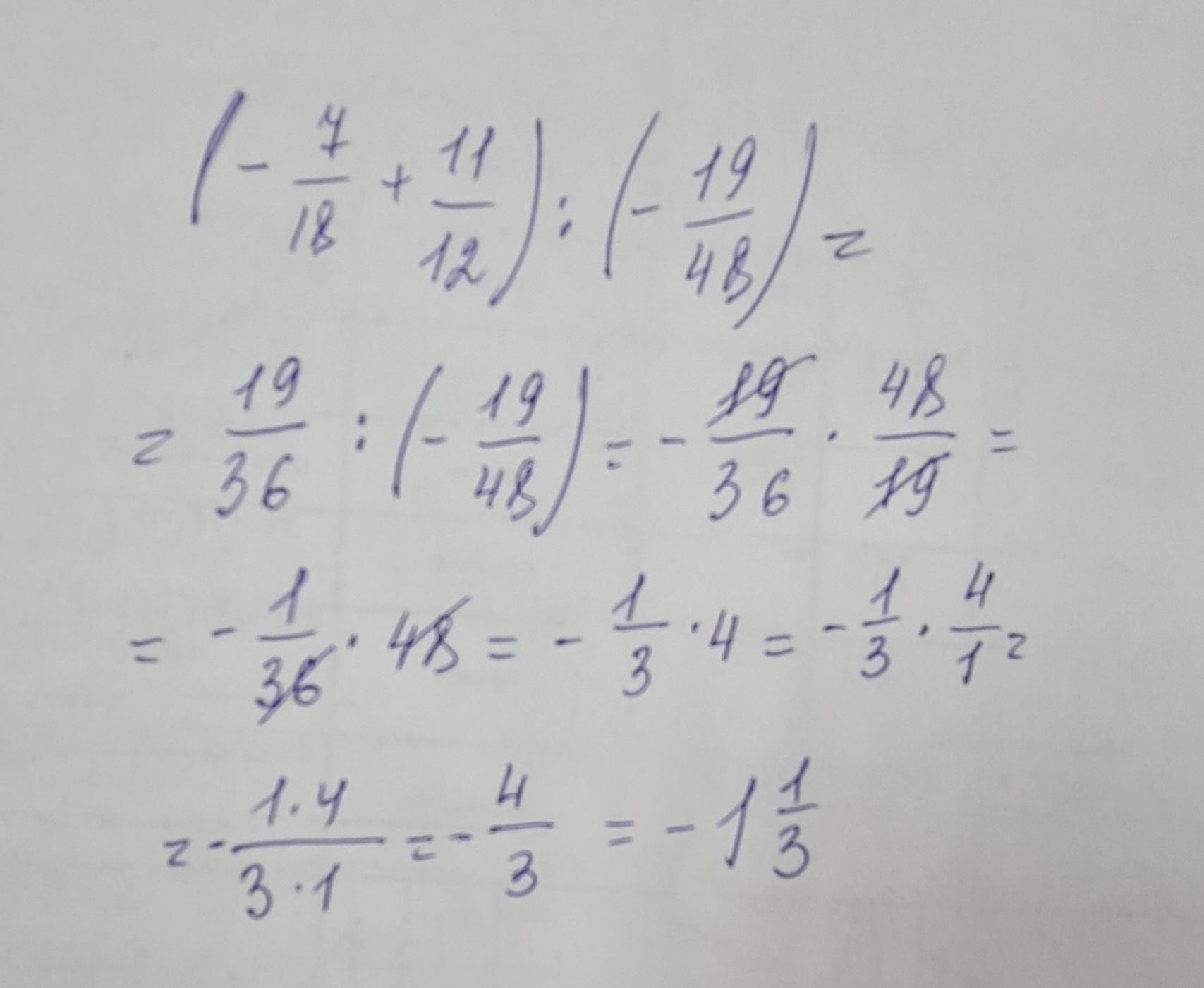
Ответ:
Пошаговое объяснение:
смотри в файле..........
Приложения:
Похожие вопросы
Предмет: Русский язык,
автор: lilian77ros
Предмет: Русский язык,
автор: Sanka200
Предмет: Русский язык,
автор: Захар7033
Предмет: География,
автор: aakovec4
Предмет: История,
автор: lizaveta1967