Предмет: Математика,
автор: sanapopovskaa1
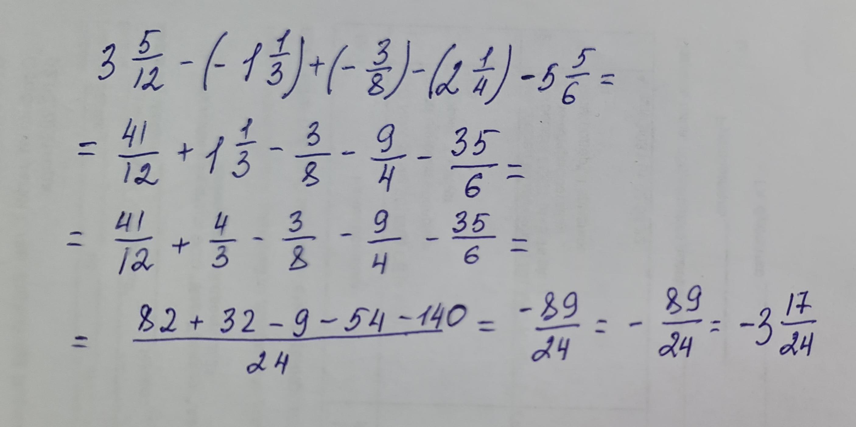
Обчисліть зручним способом 3 5/12-(-1 1/3)+(-3/8)-(2 1/4)-5 5/6=
Ответы
Автор ответа:
1
Ответ:
Смотри в файле
Пошаговое объяснение:
3 5/12-(-1 1/3)+(-3/8)-(2 1/4)-5 5/6= -3 17/24
Приложения:
tasha82v26:
я правильно понимаю, что в скобках - 1 целая 1/3?
или - 11/3?
Похожие вопросы
Предмет: Английский язык,
автор: Vladimie
Предмет: Русский язык,
автор: J2FAN
Предмет: Окружающий мир,
автор: macha89
Предмет: География,
автор: dasha145374
Предмет: Алгебра,
автор: Victorem