Предмет: Математика,
автор: isabelnev
СРОЧНО ПОЖАЛУЙСТА РЕШИТЕ!!
Приложения:
Ответы
Автор ответа:
0
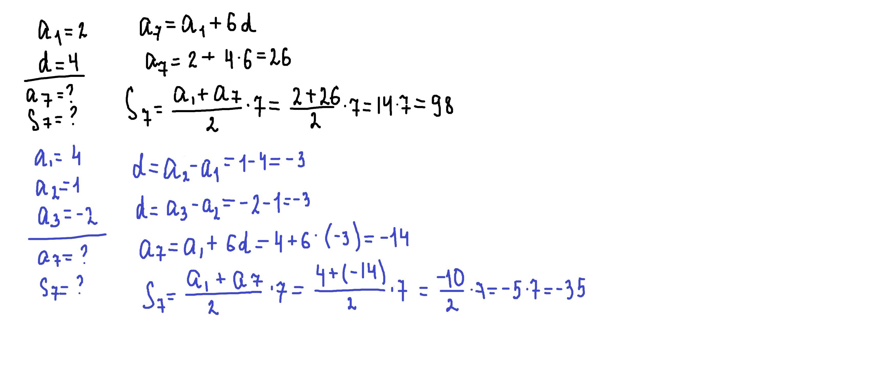
Ответ:
Пошаговое объяснение:
решение внизу
Приложения:
Похожие вопросы
Предмет: Русский язык,
автор: SINOBI220
Предмет: Русский язык,
автор: ляля303
Предмет: Окружающий мир,
автор: Almaz1970
Предмет: Математика,
автор: spasiboso