Предмет: Математика,
автор: krisbebra
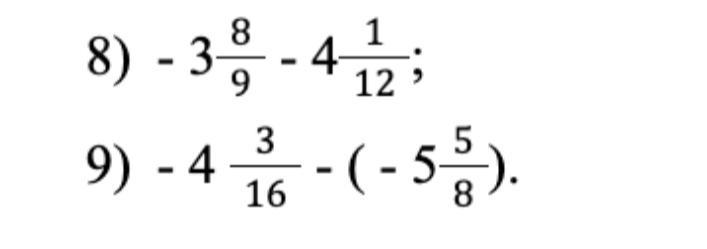
СРОЧНО НУЖНО ПОДРОБНОЕ РЕШЕНИЕ ДВУХ ПРИМЕРОВ
Приложения:
Ответы
Автор ответа:
1
Держи,.):!&3₽3!3?/&;&!:!2!:&;’вь
Приложения:
Автор ответа:
1
Ответ:
Пошаговое объяснение:
№8
-3. 8/9 - 4. 1/12 = -3. 32/36 - 4. 3/36 = -7. 35/36
№9
-4. 3/16 - (-5. 5/8) = -4. 3/16 + 5. 5/8 =
-4. 3/16 + 5. 10/16 = 1. 7/16
Похожие вопросы
Предмет: Другие предметы,
автор: YLOAWONONOK
Предмет: Английский язык,
автор: goga1555
Предмет: Українська мова,
автор: tiltd
Предмет: Русский язык,
автор: stas77146
Предмет: Русский язык,
автор: coolsmerdova