Предмет: Математика,
автор: crustaferr
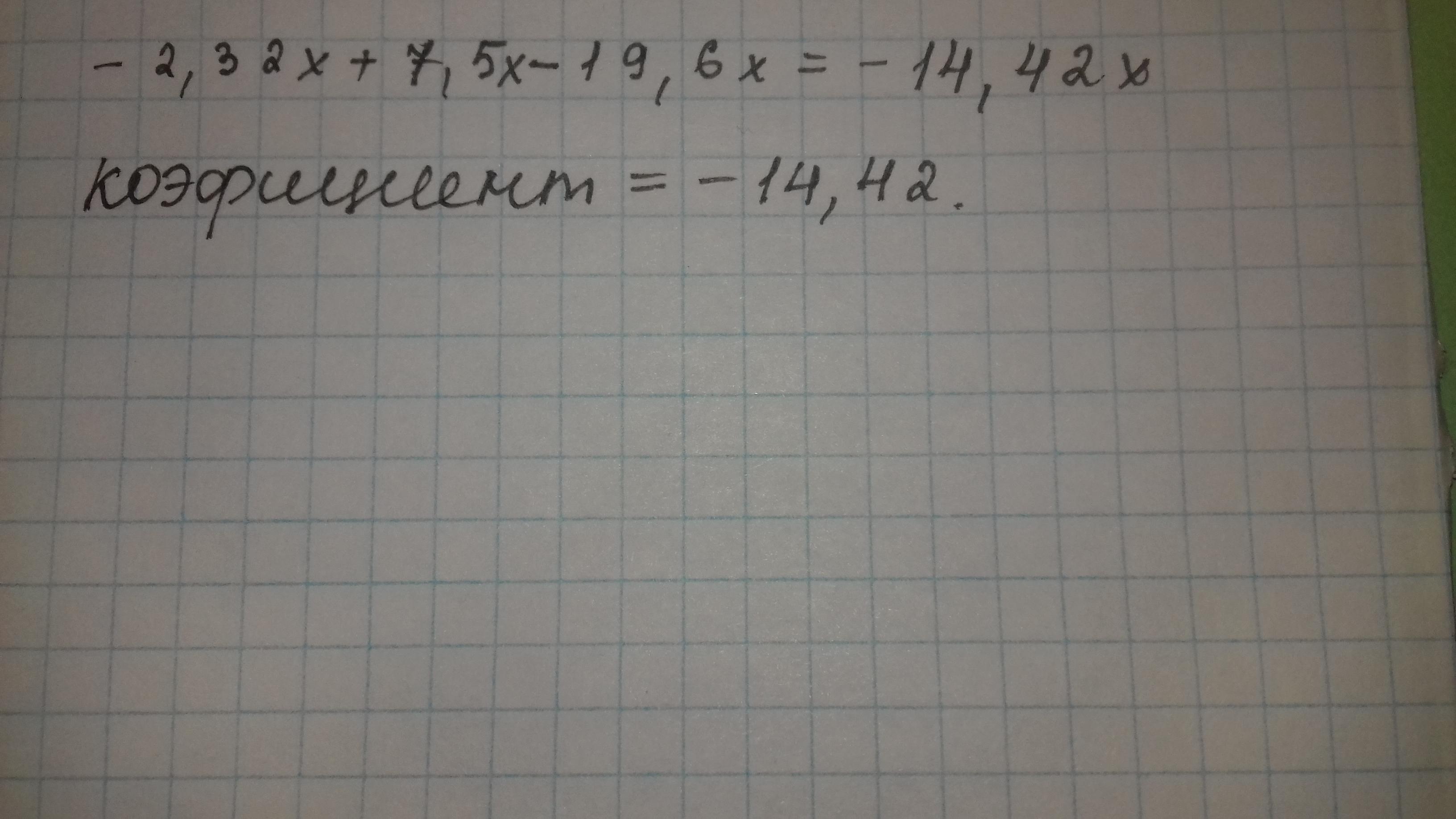
коэффициент
-2,32x+7,5x-19,6x=
Ответы
Автор ответа:
0
Ответ:
-14,42х
Пошаговое объяснение:
-2,32x+7,5x-19,6x= (-2,32+7,5-19,6)х = -14,42х
это коэффициент, при переменной х.
Автор ответа:
0
Ответ:
Смотри фото ниже.
Пошаговое объяснение:
Приложения:
Похожие вопросы
Предмет: Русский язык,
автор: умникпи
Предмет: Английский язык,
автор: ArtikShow
Предмет: Русский язык,
автор: aidana072
Предмет: Химия,
автор: someoneto
Предмет: Математика,
автор: egorpar2