Предмет: Алгебра,
автор: marik0854942
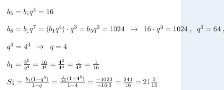
у геометричній прогресії b2*b8=1024 q=2 Знайти b5
Ответы
Автор ответа:
0
Ответ:
автор нажми лучший ответ пж
Объяснение:
Приложения:
Похожие вопросы
Предмет: Русский язык,
автор: 77599556961
Предмет: Английский язык,
автор: Sveta1969
Предмет: Русский язык,
автор: tluk1969
Предмет: Литература,
автор: khavchshvlad