Предмет: Физика,
автор: Sofshev
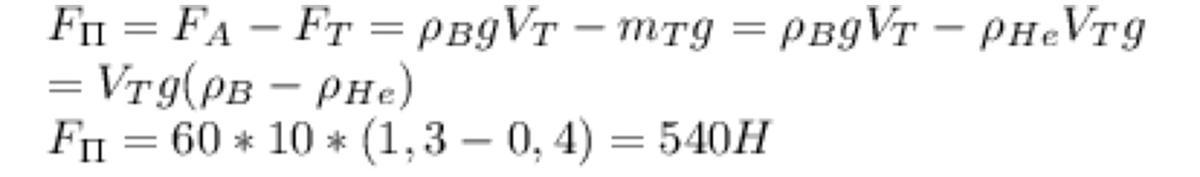
Определите подъемную силу воздушного шара, если известно, что он заполнен гелием, а объем шара равен V = 330 м3
Ответ дайте в Н
Ответы
Автор ответа:
0
надеюсь помогла. !!!!!!
Приложения:
Похожие вопросы
Предмет: Русский язык,
автор: оалалаал
Предмет: Английский язык,
автор: полька128
Предмет: Қазақ тiлi,
автор: Аноним
Предмет: Алгебра,
автор: linaaa26
Предмет: Математика,
автор: hianya