Предмет: Алгебра,
автор: otajonovzafarbek
Помогите пожалуйста люди!!
ОЧЕНЬ СРОЧНО
Приложения:
Ответы
Автор ответа:
1
Ответ:
Объяснение
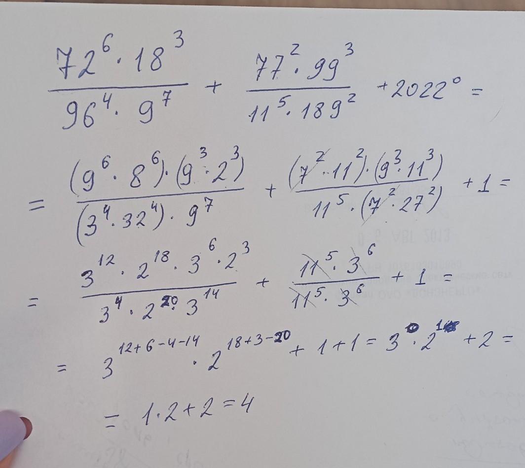
Необходимо сократить степени в выражении. Любое число в 0 степени = 1
Приложения:
Автор ответа:
1
Ответ:
4,....................................
Приложения:
Похожие вопросы
Предмет: Английский язык,
автор: 0НеЛёК0
Предмет: Українська література,
автор: dianamalets201
Предмет: Английский язык,
автор: чебатуби
Предмет: История,
автор: alinamackewa734
Предмет: Математика,
автор: vadik1611201042