Предмет: Алгебра, автор: soundsramis

распишите пожалуйста подробно, как делят столбиком так числа как , 2х-1 /х-1 или или х-3/х-1​

Ответы

Автор ответа: Vivernar
1

Ответ:

Объяснение:

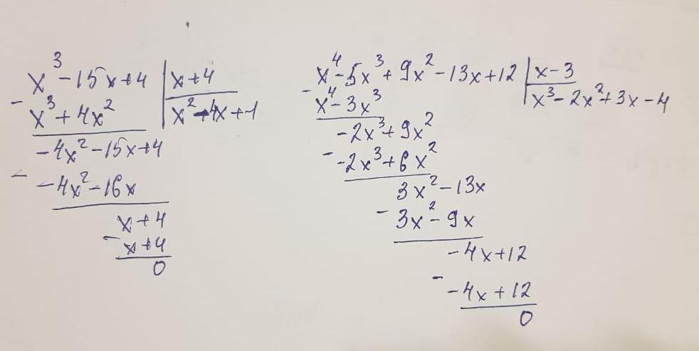
Как обычное деление, смотришь на что умножить делитель что бы в делимом пропал 2х, х-1 нужно умножить на 2, в остатке останется 1.

Так же учитываешь знак на какой нужно умножить - тоже важно 2 или -2

Потом подобные минус подобные т.к. складывать и вычитать имеем право только их.

Примеры ниже.

По сути это обычное деление, только в делителе у тебя не 1 число, а несколько переменных, которые ты будешь умножать,

например 2 умножить на х-1 будет 2х-2

Так же ты учитываешь умножить на цифру или еще и на переменную или просто на переменную х или может быть х² и т.д., то есть вычитаешь не все сразу, а избавляешься постепенно от всех переменных в делимом, начала от 2х, потом от -1, если это возможно и тд

Например, на что нужно умножить х+4 что бы избавиться от х³ в делимом? правильно на х², далее, на что нужно умножить х+4, что бы избавиться от -4х² (то, что получилось в остатке), правильно, на -4х, т.к. знак вычитания нужно учитывать и на что нужно умножить х+4 что бы избавиться от х+4, конечно на 1

Приложения:

jvjvuvuuuu: здрастуйте, я вас очень прошу помогите мне з английским
jvjvuvuuuu: пожалуйста
jvjvuvuuuu: я очень ва прошу
Vivernar: Могу помочь только с алгеброй или геометрией/Можу допомогти тільки з алгеброю чи геометрією
jvjvuvuuuu: я тебе зрозула але мені потрібна англійська, але я буду до тебе колись звертатися
Похожие вопросы
Предмет: Русский язык, автор: 79521447181