Предмет: Алгебра,
автор: qwertemal
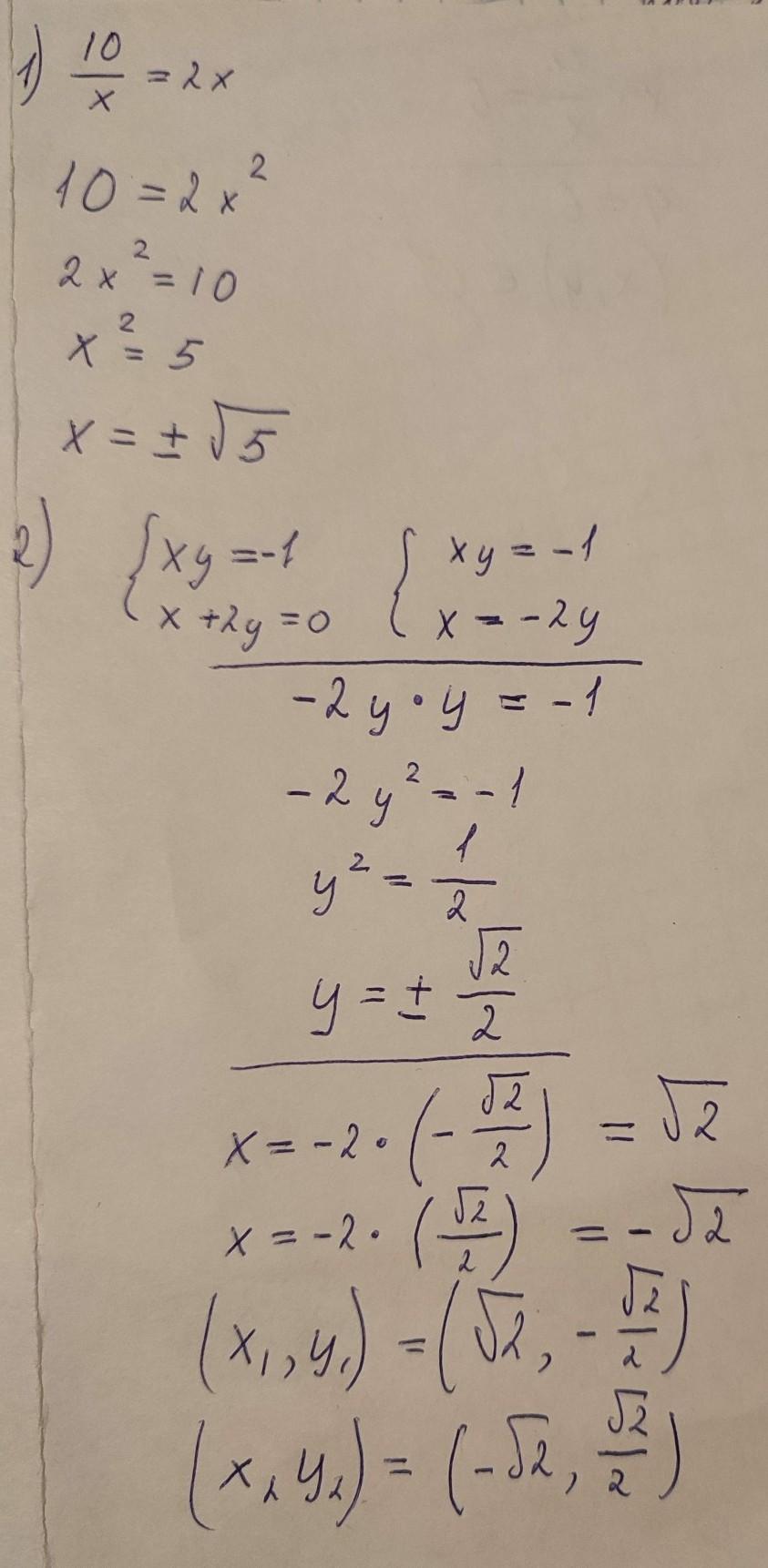
Помогите, примеры во вложении.
Приложения:
Ответы
Автор ответа:
1
Объяснение:
Надеюсь правильно, как мог
Приложения:
frickeryep:
Удачи!
Спасибо большое!
Похожие вопросы
Предмет: Окружающий мир,
автор: Аноним
Предмет: Другие предметы,
автор: simet
Предмет: Українська мова,
автор: tanechkavorona
Предмет: Английский язык,
автор: AkjelenKuandik05
Предмет: Қазақ тiлi,
автор: MadReyDeDay