Предмет: Алгебра,
автор: Аноним
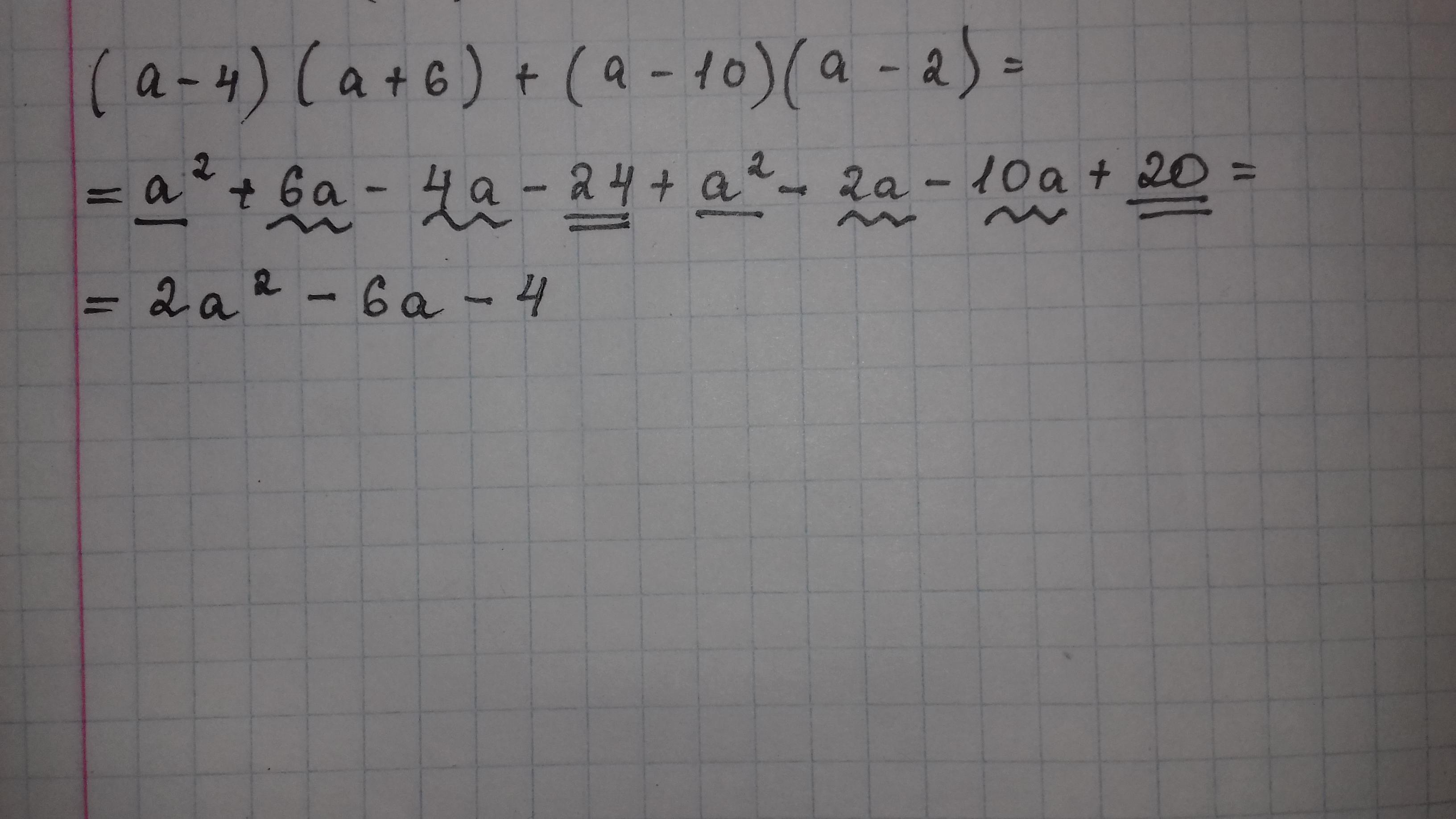
(а-4)(а+6)+(а-10)(а-2) Можно с подробным решением пожалуйста срочно
Ответы
Автор ответа:
0
Ответ:
Смотри фото ниже.
Объяснение:
Приложения:
sadykovanatalya2004:
Не за что
Автор ответа:
0
2а²-10а-4
Для початку ми перемножуємо а*а. а*6. -4*а. -4*6. Опять а*а. а*(-2 ).. -10*а. 10*2
Похожие вопросы
Предмет: Русский язык,
автор: Алина200806
Предмет: Русский язык,
автор: максАзов1
Предмет: Українська мова,
автор: 1231877
Предмет: Русский язык,
автор: nasib999
Предмет: История,
автор: Аноним