Предмет: Алгебра,
автор: ewangelina09
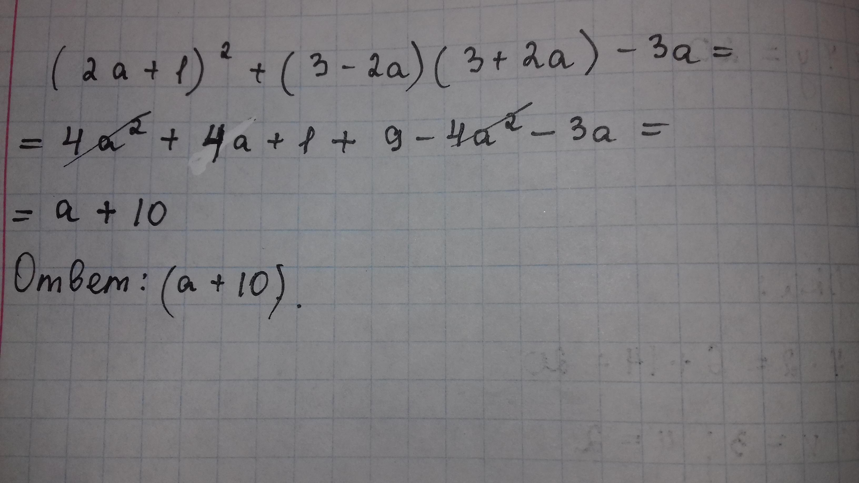
(2а + 1)2 + (3 - 2а)(3 + 2а) – 3а спростити вираз
Ответы
Автор ответа:
1
Ответ:
Смотри решение на фото..
Приложения:
larisaserova53:
1)выражение это в квадрате?
(2а+1)²
я так и решила!
спасибо огромное)
Автор ответа:
1
Ответ:
Смотри фото ниже.
Объяснение:
Приложения:
спасибо)
Не за что
Похожие вопросы
Предмет: Русский язык,
автор: ruzalinavahito
Предмет: Другие предметы,
автор: марияЛед
Предмет: Русский язык,
автор: Аноним
Предмет: Английский язык,
автор: Katerina2302
Предмет: Математика,
автор: gooh63