Предмет: Алгебра,
автор: Eaocvet
Помогите плиз, даю 30 б
Приложения:
Ответы
Автор ответа:
1
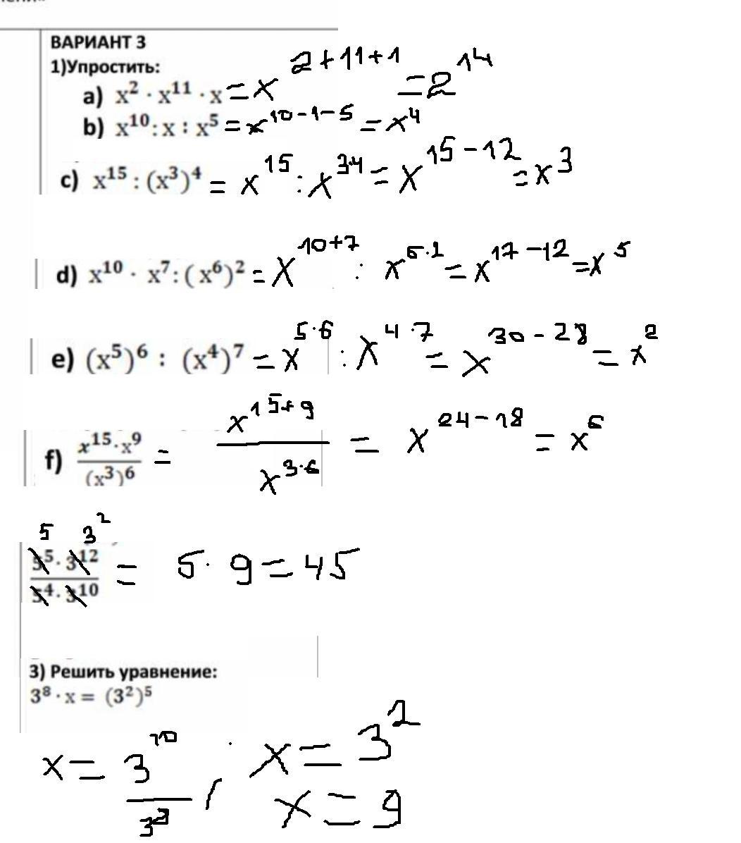
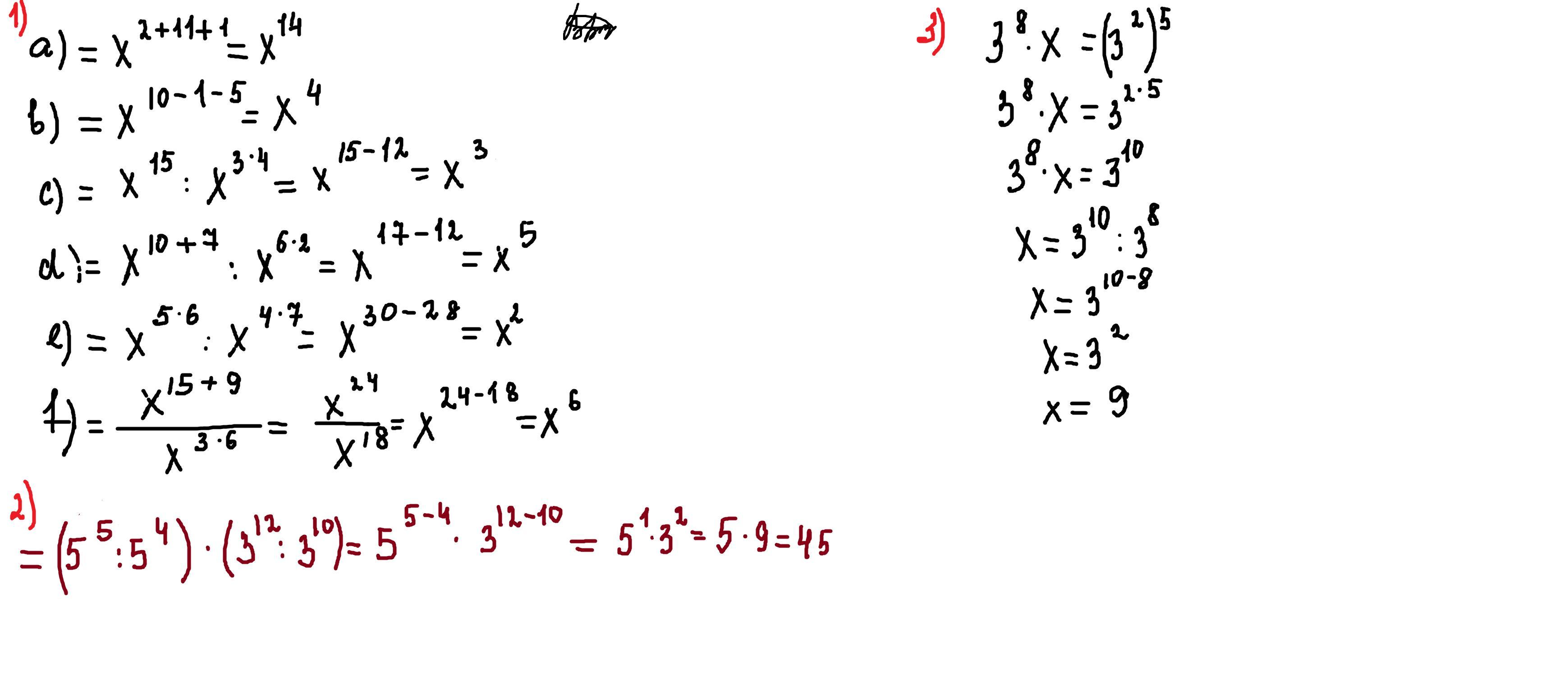
Достаточно повторить или выучить свойства степеней
Приложения:
Автор ответа:
1
Ответ:
Объяснение:
при умножении степеней с одинаковыми основаниями показатели складываются,при делении-вычитаются,при возведении степени в степень-перемножаются.
решение внизу
Приложения:
Похожие вопросы
Предмет: Английский язык,
автор: ученик1188
Предмет: Қазақ тiлi,
автор: kevinb
Предмет: Русский язык,
автор: Алиакбар111
Предмет: Химия,
автор: vica52204