Предмет: Алгебра,
автор: izmailgorod
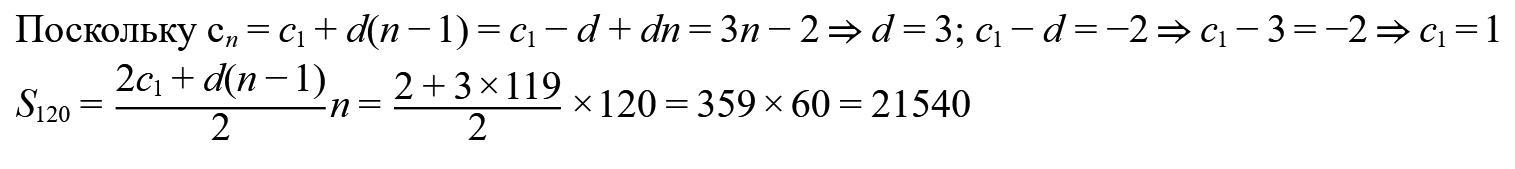
Найдите СУММУ первых ста двадцати членов арифметической прогрессии (сn.) ,Заданных формулой:
Сn = 3n -2
Ответы
Автор ответа:
2
Ответ:
21540
Объяснение:
///////////////////////////////////
Приложения:
Похожие вопросы
Предмет: Русский язык,
автор: kira2006antipova
Предмет: Қазақ тiлi,
автор: nurai1986dias
Предмет: Английский язык,
автор: Фрок
Предмет: История,
автор: Вика17022007