Предмет: Математика,
автор: XXVicentXX
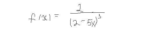
Помогите решить, найти первообразную
Приложения:
Ответы
Автор ответа:
0
Ответ:
Похожие вопросы
Предмет: Русский язык,
автор: Maria0427
Предмет: Английский язык,
автор: nsh86
Предмет: Русский язык,
автор: ElizavetaMenyalova11
Предмет: Химия,
автор: anastasiaglazunova20
Предмет: Химия,
автор: lukinartur