Предмет: Математика,
автор: maxik669
помогите решить задачу
Приложения:
Ответы
Автор ответа:
0
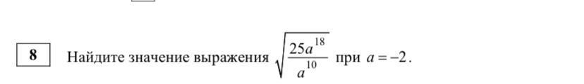
Сократим а^18 и а^10 на а^10
Получим:
√(25а^8)
Вычислим корень
5а⁴
Похожие вопросы
Предмет: Русский язык,
автор: JULIA1234558798UY
Предмет: Окружающий мир,
автор: МашаКит1
Предмет: Русский язык,
автор: Kekere337
Предмет: Английский язык,
автор: ududueejw
Предмет: Українська мова,
автор: boldogtimea7002