Предмет: Алгебра,
автор: makogonzena
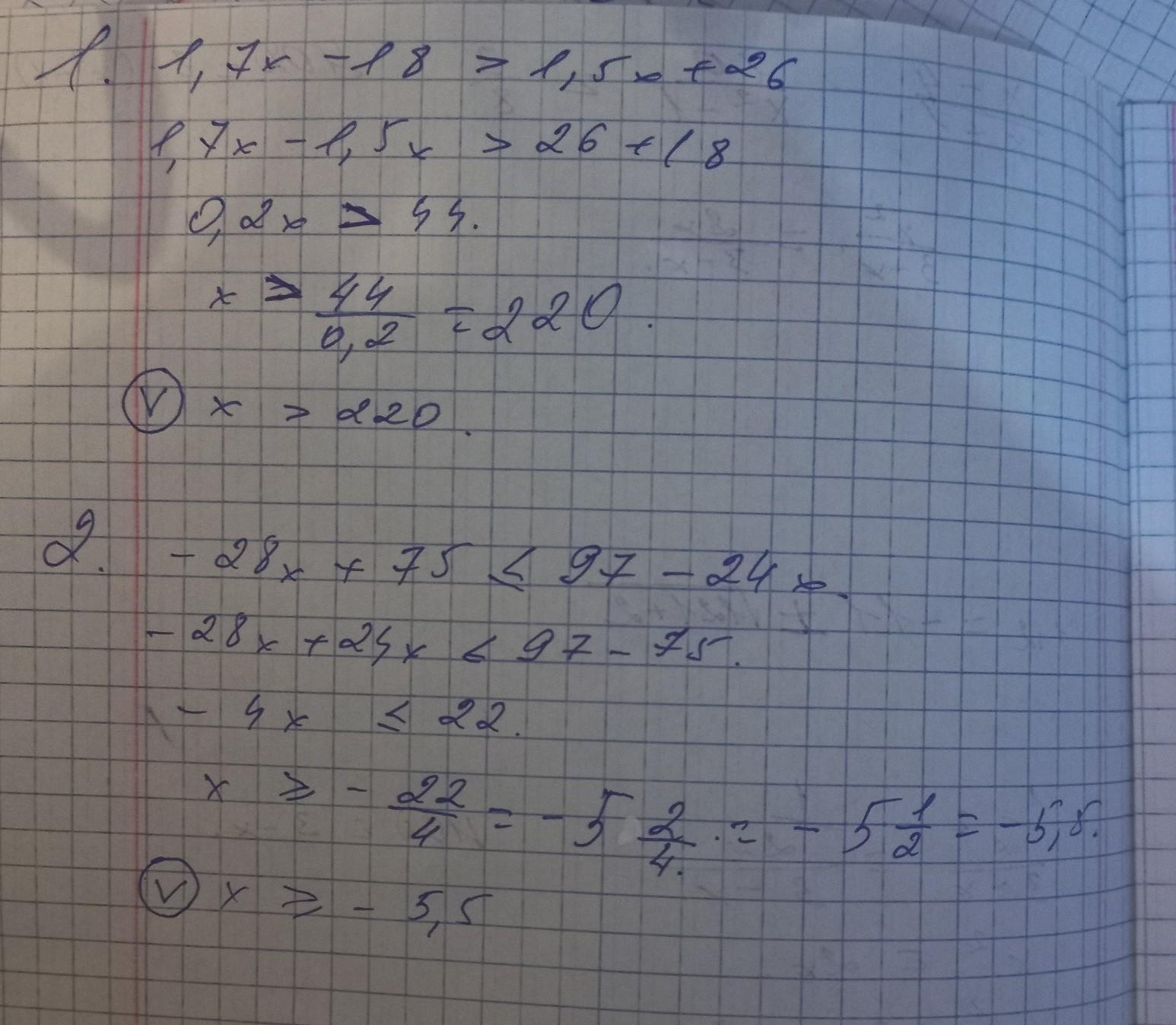
Алгебра неравенства помогите если можно
Приложения:
Ответы
Автор ответа:
1
Объяснение:
вотт........
Приложения:
Похожие вопросы
Предмет: Окружающий мир,
автор: Аноним
Предмет: Английский язык,
автор: obey2543
Предмет: Русский язык,
автор: Аноним
Предмет: Алгебра,
автор: damager1354523
Предмет: Алгебра,
автор: Allcanto