Предмет: Алгебра,
автор: милаанаа
матем 8 класс алгебра 79 стр кз
Приложения:
Ответы
Автор ответа:
0
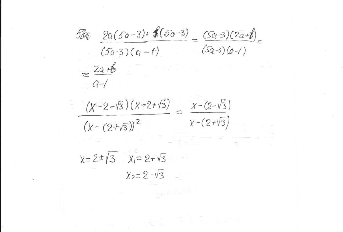
Решение:
Смотри вложение:...
Смотри вложение:...
Приложения:
Автор ответа:
0
спс большое
Похожие вопросы
Предмет: Русский язык,
автор: lerafilina09
Предмет: Химия,
автор: kolobochek270200
Предмет: Английский язык,
автор: Аноним
Предмет: Математика,
автор: ValerkaP
Предмет: История,
автор: tosha95