Предмет: Алгебра,
автор: mkittimamumav
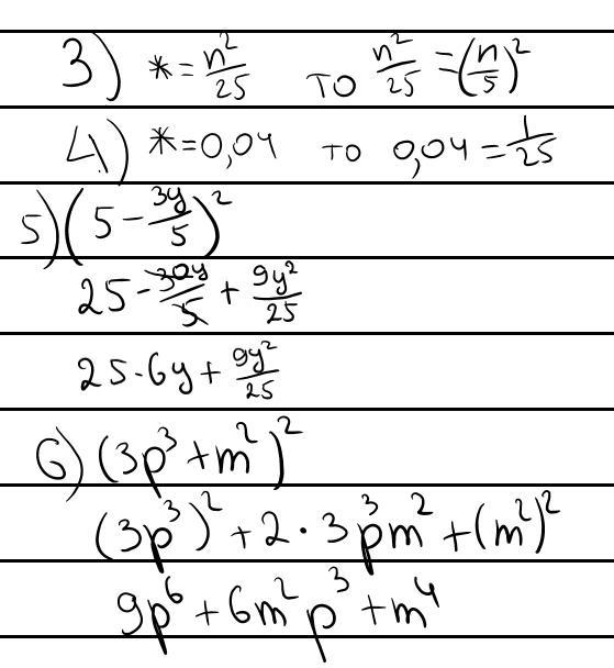
3. Якщо ( n 5 +1)^ 2 =*+ 2n 5 +1 , To^ * =... A. (n ^ 2)/5 Б. (2n)/25 B. n 25 a^ 2 V =( matrix 1&0\\ 1&0 matrix ) Г. (n ^ 2)/25 4. Якшо (x-0,2)^ 2 =x^ 2 -0,4x+^ * , TO *=... A. 0,02. 5. 0,2. B. 0,04. Gamma.0,4 5. Подайте у вигляді многочлена вираз (5- 3y 5 )^ 2 . 6. Подайте у вигляді многочлена вираз (3p ^ 3 + m ^ 2) ^ 2 .
Приложения:
Ответы
Автор ответа:
1
Все на месте в картинке
Приложения:
mkittimamumav:
а как дальше делать 3 и 4
где?
увидела спасибо
а можно тебя попросить сделать ещё
я выставила последние
Похожие вопросы
Предмет: Қазақ тiлi,
автор: Istleuova
Предмет: Русский язык,
автор: serg1434
Предмет: Английский язык,
автор: Cevin23
Предмет: Математика,
автор: kolyahsakolyya
Предмет: Математика,
автор: BTS1000088