Предмет: Алгебра,
автор: lutshepoushuvleztvde
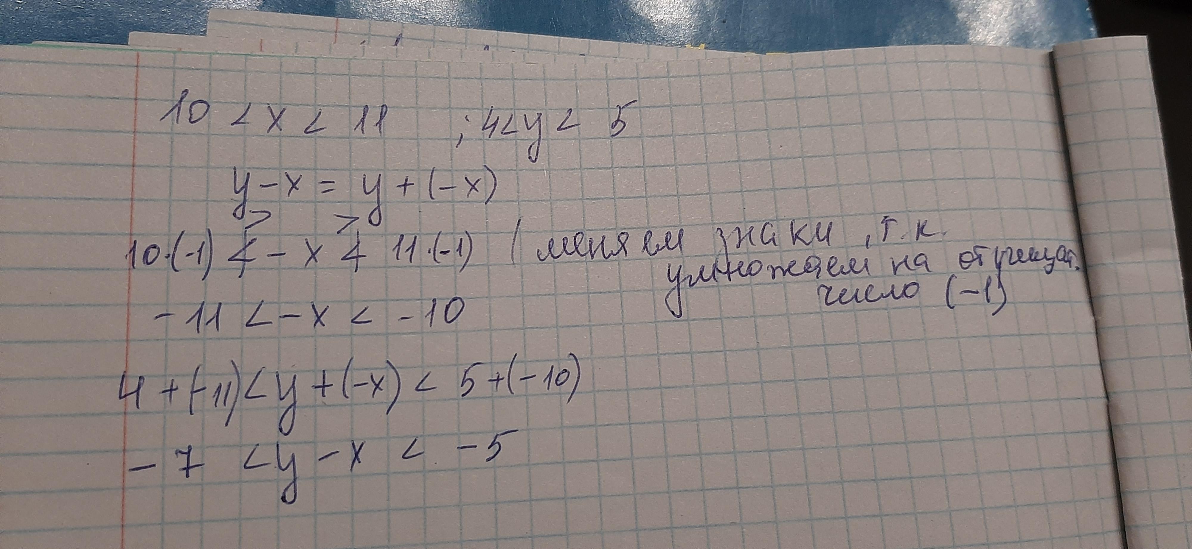
Зная, что 10 < x < 11 и 4 < y < 5, оцените y − x
Ответы
Автор ответа:
1
Ответ:
Объяснение:
Смотри
Приложения:
Похожие вопросы
Предмет: Русский язык,
автор: AnyaGO
Предмет: Английский язык,
автор: nesnauka1
Предмет: Русский язык,
автор: Аноним
Предмет: Українська мова,
автор: anna2009v1
Предмет: Литература,
автор: tima2007p