Предмет: Алгебра,
автор: dobrayabanditka1
Помоги пожалуйста!. Срочно
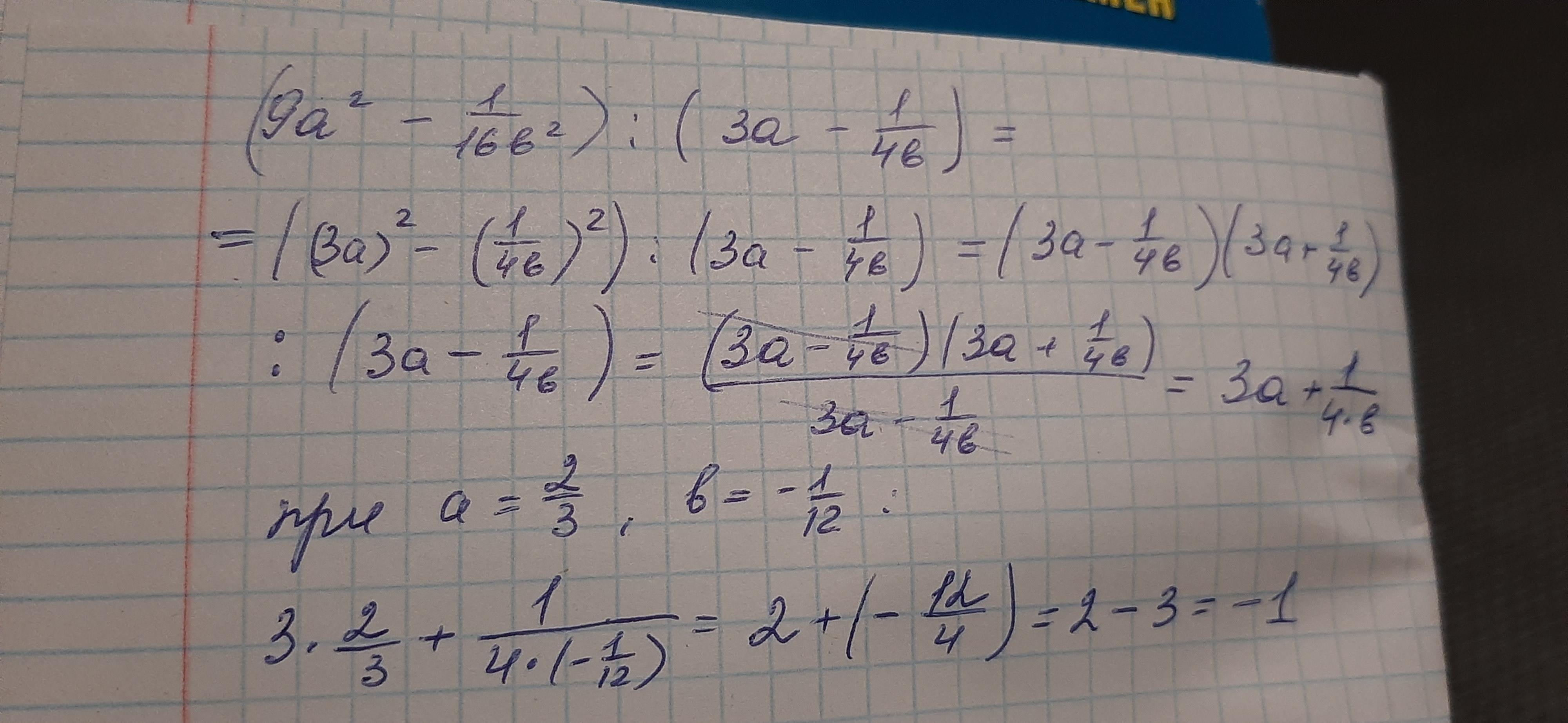
Найдите значение выражения:
(9a²-1/16b²):(3a-1/4b) при а=2/3 и b= -1/12
Приложения:
Ответы
Автор ответа:
8
Ответ:
Объяснение:
Смотри
Приложения:
sanyayaremenko01:
Evreika77 ПОмоги мне 25 баллов пожалуйста
Похожие вопросы
Предмет: Английский язык,
автор: Zhumabekanele
Предмет: Русский язык,
автор: щелчок
Предмет: Русский язык,
автор: danil228746969
Предмет: Физика,
автор: okutangelina15
Предмет: Обществознание,
автор: 2206830