Предмет: Математика,
автор: dragonvenomdomc
решите уравнение 4x^2-20x+26=0
Приложения:
Ответы
Автор ответа:
2
Ответ:
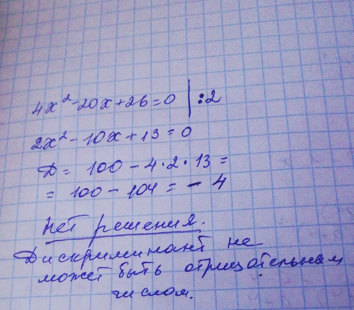
Смотри решение на фото...
Приложения:
Автор ответа:
0
Ответ:
Дискриминант 400-16*26=-16, нет решений.
Похожие вопросы
Предмет: Русский язык,
автор: AsrielPupil
Предмет: Українська література,
автор: tatianalylyk
Предмет: Русский язык,
автор: leroчka1234
Предмет: Русский язык,
автор: akhtemovaevelina
Предмет: Русский язык,
автор: Margo27034