Предмет: Алгебра, автор: Faridjon

2x²+3x-2=0 решите плиз​

Ответы

Автор ответа: xrxgjxxrrxxzzf
1

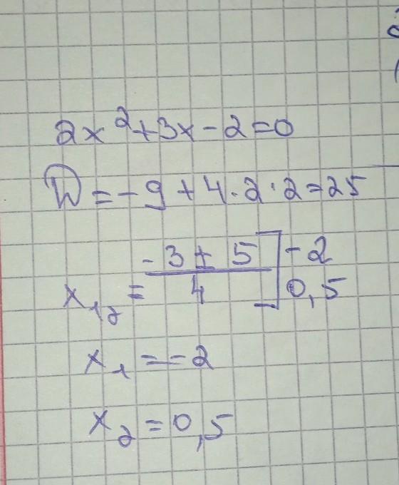
Дискриминация вроде бы

Приложения:
Автор ответа: milkachokolatefanlov
0

Ответ:

0.5 ; 2

Объяснение:

2х²+3х-2=0

a=2; b=3; c=-2

Д= 3²- 4×2×(-2)= 9+16=25

x_{1/2} = \frac{-3 +- \sqrt{25} }{2*2}  = \frac{-3+-5}{4}

x_{1}=\frac{-3+5}{4}= \frac{2}{4} = 0.5

x_{2}=\frac{-3-5}{4}=\frac{-8}{4}= -2

Похожие вопросы
Предмет: Английский язык, автор: Аноним