Предмет: Алгебра,
автор: luhotop1212
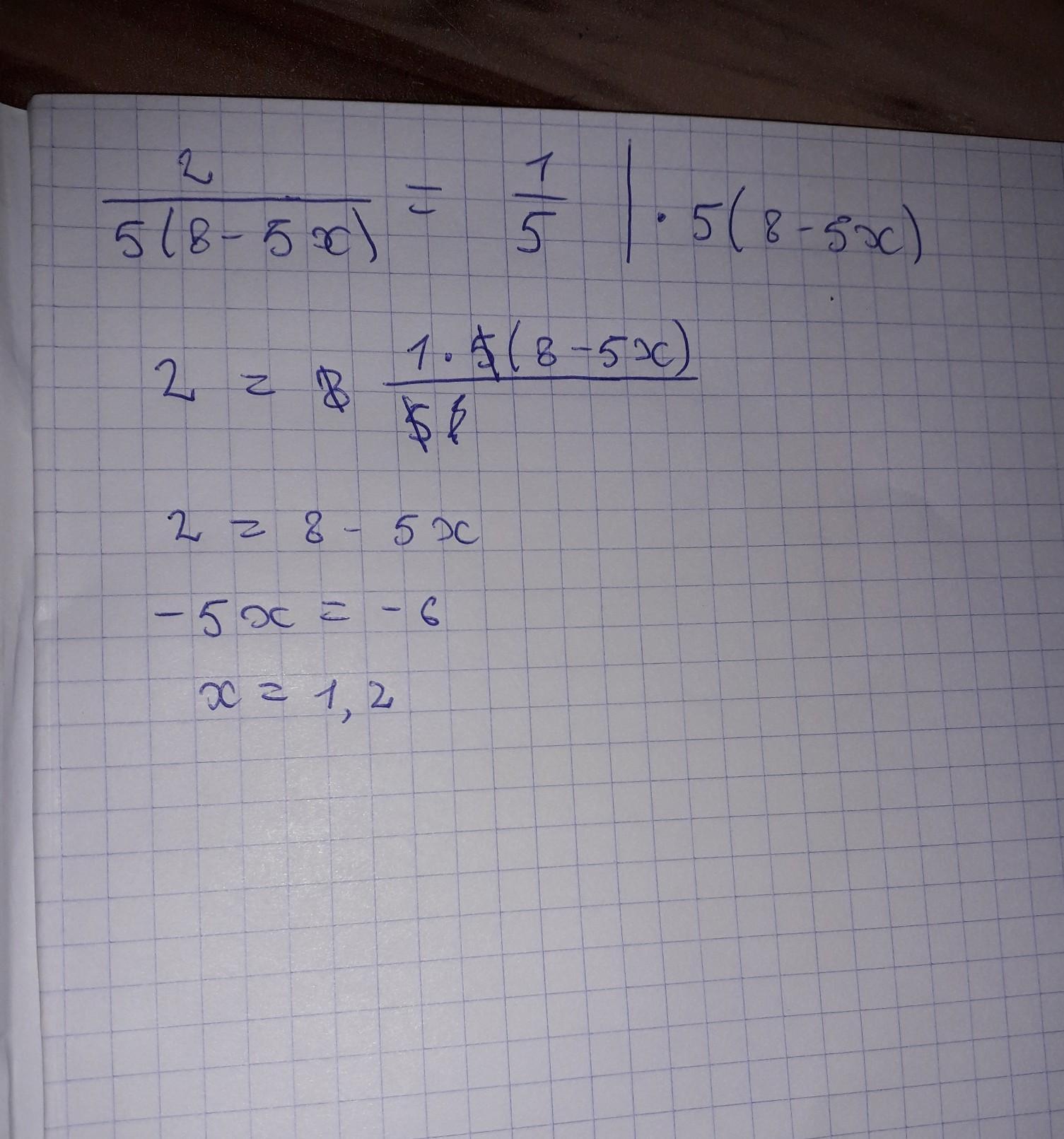
2/5(8-5x)=1/5 срочно
Ответы
Автор ответа:
0
Ответ:
x = 1.2
Объяснение:
объяснение в тетради
Приложения:
Похожие вопросы
Предмет: Русский язык,
автор: Аноним
Предмет: Английский язык,
автор: marianosova199
Предмет: Українська мова,
автор: jariklit
Предмет: Английский язык,
автор: JuliaMime
Предмет: Алгебра,
автор: afafjafk