Предмет: Математика,
автор: katyprokaty
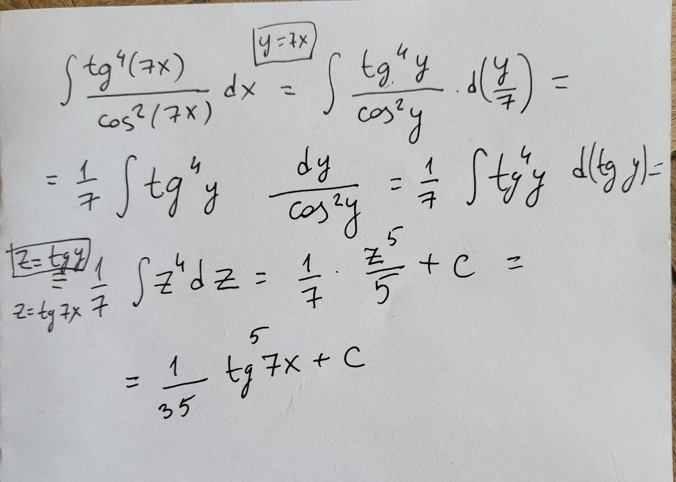
Найдите неопределенный интеграл, подробно пожалуйста
Приложения:
Ответы
Автор ответа:
1
решение приведено на фото. надеюсь, всё понятно
Приложения:
Похожие вопросы
Предмет: Русский язык,
автор: Pochemuchka8
Предмет: Английский язык,
автор: Печенюшка1000
Предмет: Другие предметы,
автор: Любимаяумная
Предмет: Русский язык,
автор: saha8160
Предмет: Математика,
автор: yaasinavi