Предмет: Алгебра,
автор: lidiabelova823
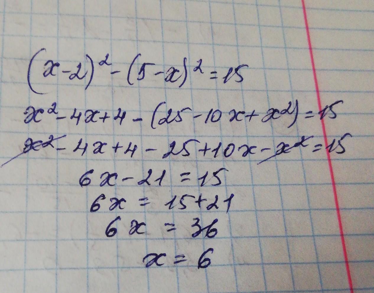
Срочно, решить уравнение (да,я тупая,извините) (х-2)²-(5-х)²=15
Ответы
Автор ответа:
2
Ответ:
Смотри решение на фото....
Приложения:
Похожие вопросы
Предмет: Русский язык,
автор: яна762
Предмет: Окружающий мир,
автор: Ленок0071
Предмет: Другие предметы,
автор: Есембекова
Предмет: Английский язык,
автор: hxgshue882
Предмет: Математика,
автор: Аноним