Предмет: Алгебра,
автор: kokhanovsskiy07
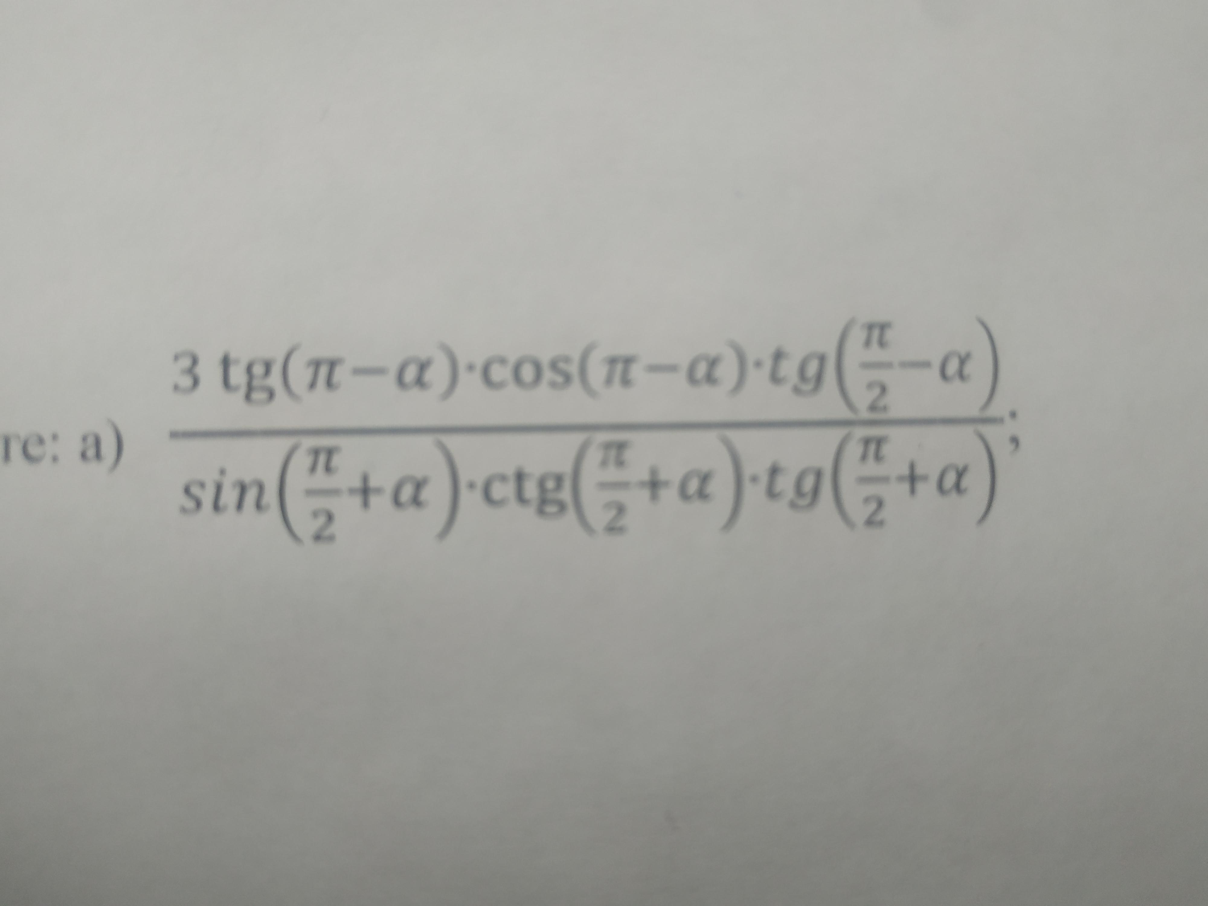
Помогите пожалуйста,
Упростите
Приложения:
Ответы
Автор ответа:
0
Ответ:
используя формулы приведения
Приложения:
Похожие вопросы
Предмет: Русский язык,
автор: Solovieva55
Предмет: Русский язык,
автор: Оос11
Предмет: Русский язык,
автор: денн4
Предмет: Другие предметы,
автор: artem159211