Предмет: Алгебра,
автор: gusi33
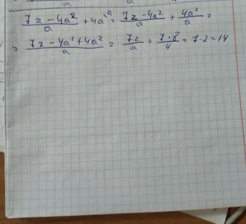
Упрости выражение и найди его значение:
7z — 4а2
+ 4а при а = 4, z = 8.
Помогите плиз даю 25б
Приложения:
Ответы
Автор ответа:
0
правильный ответ 14. все на фото
Объяснение:
решение на фото
Приложения:
Похожие вопросы
Предмет: Русский язык,
автор: NK1904
Предмет: Русский язык,
автор: koteikaa811
Предмет: Окружающий мир,
автор: сообщениеокосмосе
Предмет: Английский язык,
автор: ляля121314
Предмет: Английский язык,
автор: Аноним