Предмет: Математика,
автор: pikir990
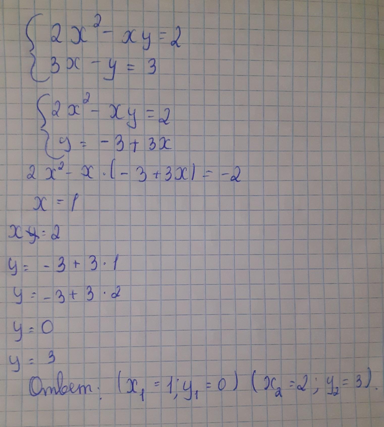
решите систему........
Приложения:
Ответы
Автор ответа:
1
..........................
Приложения:
Похожие вопросы
Предмет: Английский язык,
автор: Анютка11оо
Предмет: Русский язык,
автор: 198219831
Предмет: Русский язык,
автор: ислам224
Предмет: Математика,
автор: gulmira76