Предмет: Алгебра,
автор: zafarjonnorzoda2020
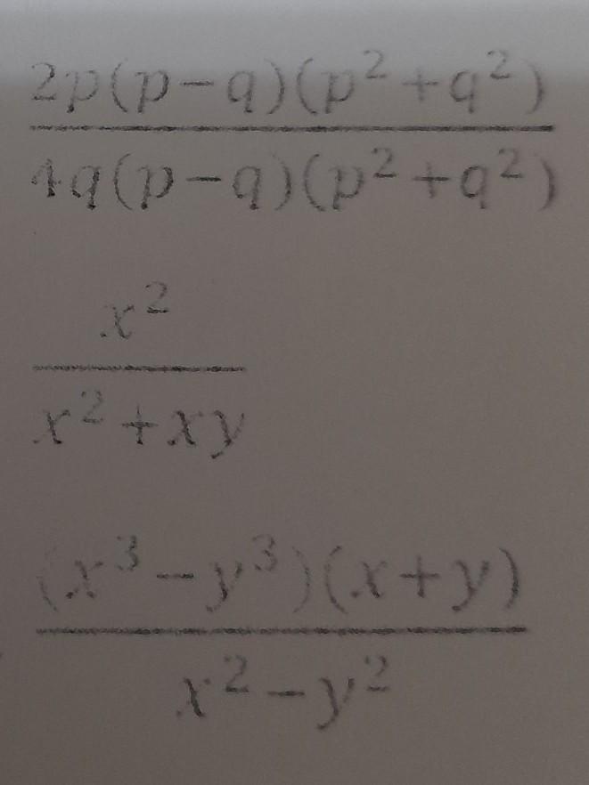
пожалуйста сократите дробь
Приложения:
Ответы
Автор ответа:
0
........................
Приложения:
Weburok:
Неправильно списан 1-ый пример.
(P-Q) в знаменателе
Автор ответа:
1
Ответ во вложении)))
Приложения:
Похожие вопросы
Предмет: Русский язык,
автор: закарья
Предмет: Английский язык,
автор: Аноним
Предмет: Английский язык,
автор: polinafomina
Предмет: Русский язык,
автор: 1980nazira1980
Предмет: Русский язык,
автор: annakot88