Предмет: Математика,
автор: rsocidi
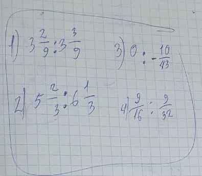
Вопрос на фото, заранее большое спасибо.
Приложения:
Ответы
Автор ответа:
1
Ответ:
Пошаговое объяснение:
Ответ в фото. Удачи
Приложения:
rsocidi:
спс
По моему так
Автор ответа:
0
Ответ:
Пошаговое объяснение:
Сорри я на коленке писал
Приложения:
Похожие вопросы
Предмет: Русский язык,
автор: АлинаЛатышева
Предмет: Русский язык,
автор: Gdfhchy
Предмет: Русский язык,
автор: Стас1114678553
Предмет: Окружающий мир,
автор: MariaZhuk
Предмет: Английский язык,
автор: sa16