Предмет: Математика,
автор: DashaMeowKeK
Тригонометрические функции. До завтрашнего дня (12.03)
Приложения:
Ответы
Автор ответа:
1
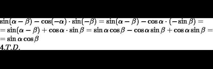
держите, надеюсь правильно
Приложения:
wrdas01:
простите что не нашла 3
и на том спасибо)
Похожие вопросы
Предмет: Русский язык,
автор: Киса12308
Предмет: Русский язык,
автор: Gdfhchy
Предмет: Русский язык,
автор: Polinazv
Предмет: Алгебра,
автор: khamidovaafatima777
Предмет: Русский язык,
автор: 55555ученик55555