Предмет: Алгебра,
автор: AmorOptima
помогитн пжжжжжжжжжжжжжжжжжжж
Приложения:
Ответы
Автор ответа:
1
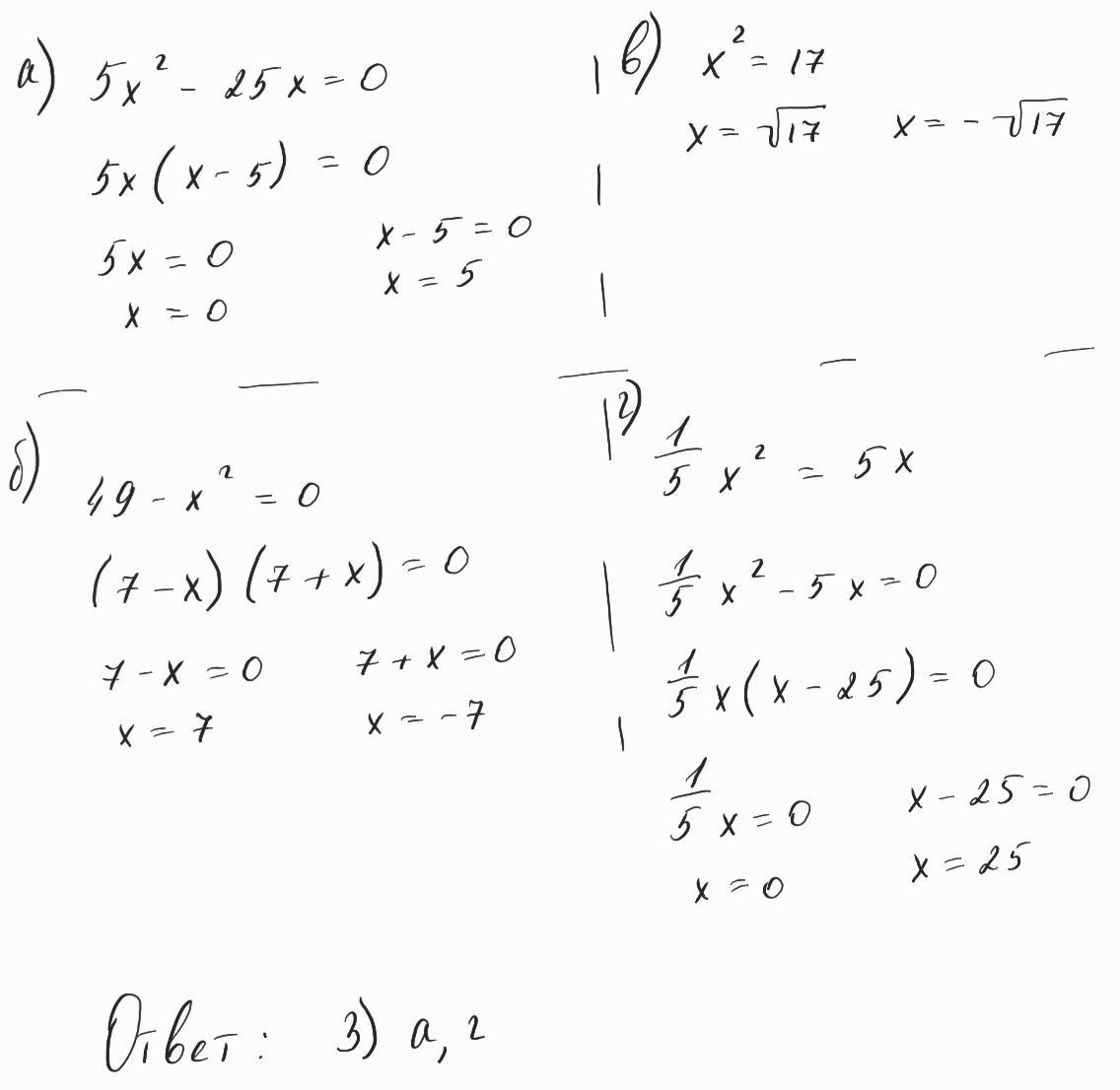
Ответ: 3
Решение представлено на фото
Приложения:
Похожие вопросы
Предмет: Русский язык,
автор: саша2536
Предмет: Русский язык,
автор: Камиля111111
Предмет: Английский язык,
автор: Dasha280504
Предмет: Математика,
автор: 345989061
Предмет: Алгебра,
автор: YouAngelAda