Предмет: Алгебра,
автор: zholdoshevasamira
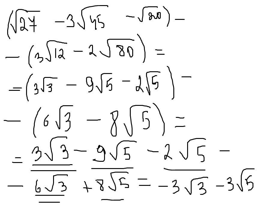
Можете помочь пожалуйста нужно упростить решение
Приложения:
Ответы
Автор ответа:
0
Ответ: Полагаю, что так.
Объяснение:
Приложения:
Похожие вопросы
Предмет: Окружающий мир,
автор: bysinka2508
Предмет: Русский язык,
автор: орхан2005
Предмет: Русский язык,
автор: vladakovaleva20
Предмет: Математика,
автор: nas2312
Предмет: Русский язык,
автор: ilaeregin94407