Предмет: Математика,
автор: Evva9
помогите пожалуйста.
Приложения:
Ответы
Автор ответа:
1
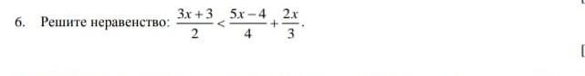
Ответ:
x > 3.6
Пошаговое объяснение:
18x+18 < 15x + 8x
18x+18 < 23x
18 < 5x
3,6 < x
x > 3,6
Автор ответа:
0
Ответ:
x > 3.6
Пошаговое объяснение:
18x+18 < 15x + 8x
18x+18 < 23x
18 < 5x
3,6 < x
x > 3,6
Пошаговое объяснение:
Похожие вопросы
Предмет: Қазақ тiлi,
автор: Аноним
Предмет: Русский язык,
автор: Veronika0208
Предмет: Русский язык,
автор: Botashka2005
Предмет: Українська література,
автор: fhjfgh
Предмет: Другие предметы,
автор: konysheva1983