Предмет: Алгебра,
автор: sfkas
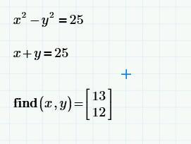
Решите задачу с помощью составления уравнения. Разность квадратов двух чисел равна 25, а сумма этих чисел тоже равна 25. Найдите эти числа.
Ответы
Автор ответа:
1
Ответ:
x=13
y=12
Объяснение:
Ну можно и руками, конечно считать. Но мне лень
Выразить у во втором уравнении. Подставить в первое и решить обычное квадратное уравнеиние.
Приложения:
Похожие вопросы
Предмет: Українська мова,
автор: 000София000
Предмет: Русский язык,
автор: somava1985
Предмет: Русский язык,
автор: miliolia125
Предмет: Химия,
автор: seroja
Предмет: Алгебра,
автор: nauthylus44