Предмет: Математика,
автор: rotaralina18
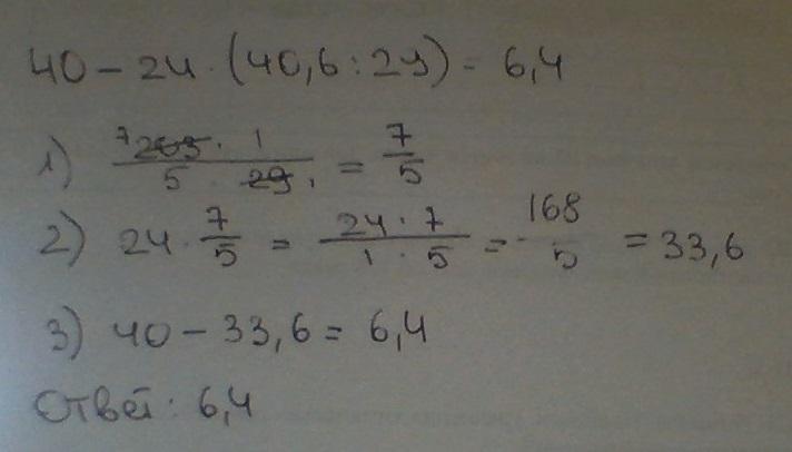
40-24•(40, 6:29)=6,4 решения в столбик
Ответы
Автор ответа:
0
Ответ:
на фотке
Пошаговое объяснение:
Приложения:
Похожие вопросы
Предмет: Другие предметы,
автор: Jesika907
Предмет: Окружающий мир,
автор: Аноним
Предмет: Русский язык,
автор: sanekkulikov04
Предмет: Русский язык,
автор: serikbay69
Предмет: Химия,
автор: sherbakkseniya