Предмет: Алгебра,
автор: GoldAnonim666
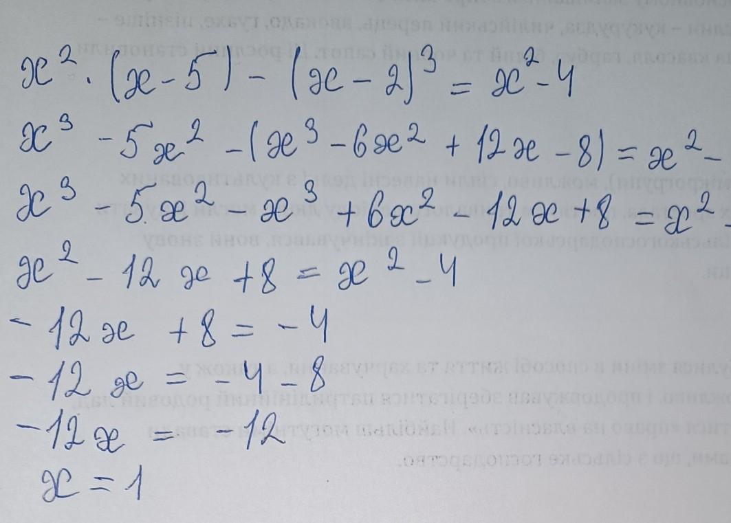
Решите уравнение: x² (x − 5) − (x − 2)³ = x² − 4
mathgenius:
Cкобки раскройте и будет вам квадратное уравнение...
так напиши
у меня ещё 11 номеров по физике. до пол-первого
Не это скучно...
Вот уже кто- то пишет вам
Ответы
Автор ответа:
2
Объяснение:
ответ на фото надеюсь помог
Приложения:
можно проверенный ответ
спс
все верно, по алгебре 5
Автор ответа:
0
Ответ:
На фото есть ответ:
х = 1.........
Приложения:
Похожие вопросы
Предмет: Русский язык,
автор: региша3
Предмет: Русский язык,
автор: 12345678157
Предмет: Окружающий мир,
автор: hermiona5678
Предмет: Алгебра,
автор: tarakanchek
Предмет: Алгебра,
автор: Аноним